
* 같이 보면 좋은 글
📄 등차수열의 합
📄 등비수열의 합
* ∑ : 수열의 합
일반항을 아는 수열의 합이 주어진다면 어떻게 간단하게 표현할 수 있을까요?
1+2+3+4+...+10은
수열 1,2,3,...,10에 대하여 제1항부터 제10항까지 더한 값입니다.
그리고 일반항은

과 같이 나타낼 수 있습니다.
이때 우리는 기호 ∑를 이용하여 수열의 합을 간단하게 나타낼 수 있습니다.
∑는 시그마로 읽고 다음과 같을 때 나타낼 수 있습니다.

[참고] 시그마의 아래 부분은 제 1항부터 더한다는 뜻입니다.
[참고] 시그마의 윗 부분은 제 n항까지 더한다는 뜻입니다.
[참고] a_k는 일반항을 의미합니다. 이때 시그마의 아래 부분에서 선언한 변수에 대한 일반항입니다.
* ∑를 이용하여 수열의 합 나타내기
∑를 이용하여 수열의 합을 나타내는 방법은 다음과 같습니다.

위에서 든 예를 다시 가져와보면,
1+2+3+...+9+10은
수열 1,2,3,...,10의 제1항에서 제10항까지 더한 값입니다.
그리고 제n항일 때 일반항은 n입니다.
이를 시그마로 나타내어보면

로 나타낼 수 있습니다.

* ∑의 성질
∑(시그마)는 다음과 같은 성질을 가집니다.

대강 해석해보면
1) 두 수열의 합의 제1항부터 제n항까지의 합은 각 수열의 제1항부터 제n항까지의 합을 더한 것과 같다.
2) 두 수열의 차의 제1항부터 제n항까지의 합은 각 수열의 제1항부터 제n항까지의 합을 뺀 것과 같다.
3) 수열에 상수가 곱해진 값의 합은 수열의 합에 상수를 곱한 것과 같다.
4) 제1항부터 제n항까지 상수의 합은 상수와 n을 곱한 것과 같다.
입니다.
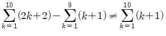
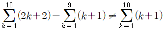
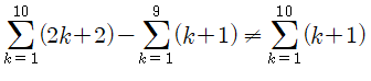
[참고] 수열의 곱이 주어진 상황에서는 시그마를 떼어놓을 수 없습니다.

[참고] 수열의 첫째항과 마지막항이 같지 않은 상태에서는 시그마의 성질을 적용할 수 없습니다.

대신, 수열의 마지막 항을 맞추면 적용할 수 있습니다. 첫번째 수열의 합을 제9항까지의 합으로 바꾸는 것이죠.
(제 1항부터 제10항까지의 합) = (제1항부터 제9항까지의 합)+제10항
임을 이용합니다.

* 자연수의 거듭제곱의 합
자연수의 거듭제곱의 합을 ∑로 나타내었을 때 다음 식이 성립합니다.

k, k^2, k^3의 합은 다항식 꼴인 일반항을 가진 수열의 합을 구할 때 필요한 식입니다.
k의 합을 구할 줄 안다면
k^2과 k^3의 합을 쉽게 유도할 수 있습니다.

* 학습지 미리보기


* 첨부파일
* 닫는 말
이번 학습지는 시그마 꼴로 주어진 수열의 합을 계산하는 유형으로 담았습니다. 시그마의 뜻과 성질을 이해하고, 자연수의 거듭제곱의 합을 구하면 수열의 합을 계산할 수 있습니다. 문제를 풀어보며 시그마를 계산해봅시다.
✔ 저작물 관련 유의사항
- 본 저작물(문제 및 그림)은 학습지 제작소에 있으며, 비상업적, 상업적 이용이 가능합니다.
- 저작물을 사용 시 출처를 밝힌 후, 자유롭게 사용이 가능합니다.
- 학습지제작소의 저작물을 2차 배포하거나, 제 3자에게 제공하거나, 또는 출판하는 행위(ISBN이 포함된 서적으로 출판)는 엄격히 금지합니다.
Copyright. 2020. 학습지제작소. All Rights Reserved.
#태그 : 고2, 수학I, 수열의 합, 시그마, 수열의 합 공식, 시그마 공식, 자연수의 거듭제곱의 합 공식, 학습지제작소
'수학 학습지 > 수학I' 카테고리의 다른 글
| [수학I] 33. 수열의 귀납적 정의 (개념+수학문제) (0) | 2020.12.15 |
|---|---|
| [수학I] 32. 시그마로 식의 값(다항식의 합) 계산하기 (개념+수학문제) (0) | 2020.12.11 |
| [수학I] 30. 삼각함수 > 사인법칙 (개념+수학문제) (0) | 2020.11.11 |
| [수학I] 29. 등차수열 > 배수의 합, 서로소인 수의 합 (개념+수학문제) (0) | 2020.11.04 |
| [수학I] 28. 삼각부등식(삼각함수가 들어간 부등식) (개념+수학문제) (0) | 2020.11.03 |