
* 같이 보면 좋은 글
* 수열의 귀납적 정의
수열의 귀납적 정의란, 수열 {a_n}에 대하여 첫째항을 포함한 최소한의 항과 이웃하는 여러 항의 관계식으로 수열을 정의하는 것입니다.
1. 등차수열
예) 수열 2,4,6,8,10...에서
수열의 첫째항은 2이고
이웃한 항의 차는 모두 2입니다. 이를 귀납적 정의로 나타내면

으로 나타낼 수 있습니다.
[참고] 공차(2)를 이용하여 정의할 수도 있고, 아래와 같이 등차중항을 제시하여 등차수열을 정의할 수 도 있습니다.

이 경우에는 이웃하는 여러 항의 관계식에서 공차를 알 수 없으므로 제1항과 제2항을 함께 제시해주어야 합니다.
2. 등비수열
예) 수열 1,3,9,27,81...에서
수열의 첫째항은 1이고
이웃한 두 항은 1:3의 비를 가집니다. 이를 귀납적 정의로 나타내면

으로 나타낼 수 있습니다.
[참고] 등차수열과 마찬가지로 등비수열도 제1항, 제2항과 등비중항을 이용해 정의할 수 있습니다.

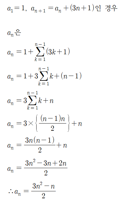
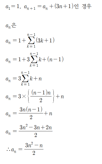
3. a_n+1 = a_n + f(n)꼴

예)

* 학습지 미리보기


* 첨부파일
* 닫는 말
이번 학습지는 수열의 귀납적 정의로, 등차수열, 등비수열, 그리고 a_{n+1}=a_n+f(n)꼴로 정의되는 수열의 항을 구하는 문제들을 담았습니다. 귀납적 정의의 의미를 이해하고, 일반항으로 풀어 문제에서 제시한 항이 얼마인지 알아봅시다.
✔ 이 글이 도움이 되셨나요?
- 댓글이나 자유게시판에 글을 남겨주세요. 글쓴이에게 큰 힘이 됩니다.
- 학습지제작소를 구독하시면 빠르게 소식을 받아보거나 프리미엄 학습지를 신청하실 수 있습니다.
✔ 저작물 관련 유의사항
- 본 저작물(문제 및 그림)은 학습지제작소에 있으며, 비상업적, 상업적 이용(수업에서 부교재로 사용하는 경우만)이 가능합니다.
- 저작물을 사용 시 출처를 밝힌 후, 자유롭게 사용이 가능합니다.
- 학습지제작소의 저작물을 관리자의 동의없이 2차 배포하거나, 제 3자에게 제공하거나, 또는 출판하는 행위(ISBN이 포함된 서적으로 출판)는 엄격히 금지합니다.
Copyright. 2020. 학습지제작소. All Rights Reserved.
#태그 : 고2, 고등학교 2학년, 수학I, 수열, 수학적 귀납법, 수열의 귀납적 정의 의미, 수열의 귀납적 정의 문제, 연습, 연습문제, 다운, 다운로드, pdf, 학습지제작소
'수학 학습지 > 수학I' 카테고리의 다른 글
| 부분분수의 합 개념 + 수학학습지 | 부분분수 공식 [수학1/수학I] (1) | 2022.02.15 |
|---|---|
| [수학I] 34. 코사인법칙 (개념+수학문제) (0) | 2020.12.26 |
| [수학I] 32. 시그마로 식의 값(다항식의 합) 계산하기 (개념+수학문제) (0) | 2020.12.11 |
| [수학I] 31. 수열의 합 ∑(시그마)의 뜻과 성질 (개념+수학문제) (0) | 2020.12.08 |
| [수학I] 30. 삼각함수 > 사인법칙 (개념+수학문제) (0) | 2020.11.11 |