
* 같이 보면 좋은 글
📄 삼각방정식
* 사인법칙
사인법칙은 삼각형의 세 변의 길이를 각각 대각의 sin값으로 나누면 외접원의 지름으로 일정하다는 법칙입니다.
두 각의 크기와 한 변의 길이가 주어졌거나
한 각과 대변의 길이만 주어졌을 때 유용하게 사용할 수 있습니다.
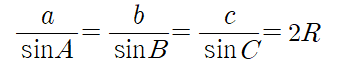
사인법칙은 다음과 같습니다.
삼각형 ABC에 대하여


(단, a,b,c는 각 A,B,C의 대변의 길이)
예) 삼각형 ABC에 대하여 A=45˚, B=60˚,
a=3일 때, 변 AC의 길이는

사인법칙을 응용하면 다음과 같은 식도 만들 수 있습니다.

대변의 길이의 비는 사인값의 비와 같습니다.
* 학습지 미리보기


* 첨부파일
* 닫는 말
이번 학습지는 사인법칙에 대한 내용으로 외접원의 반지름의 길이나 변의 길이, 외접원의 넓이를 구하는 문제로 담았습니다.
[참고] 사인법칙을 공부할 때에는 180도 미만일 때 sin값은 0초과 1이하이지만 변의 길이는 양수, 외접원의 반지름의 길이도 양수이므로 (0초과 1이하)÷(양수)는 모든 양수가 될 수 없으나 (양수)÷(0초과 1이하)=(양수)는 성립합니다. 따라서 sin은 분모, 대변의 길이는 분자로 가게 됩니다.
✔ 저작물 관련 유의사항
- 본 저작물(문제 및 그림)은 학습지 제작소에 있으며, 비상업적, 상업적 이용이 가능합니다.
- 저작물을 사용 시 출처를 밝힌 후, 자유롭게 사용이 가능합니다.
- 학습지제작소의 저작물을 2차 배포하거나, 제 3자에게 제공하거나, 또는 출판하는 행위(ISBN이 포함된 서적으로 출판)는 엄격히 금지합니다.
Copyright. 2020. 학습지제작소. All Rights Reserved.
#태그 : 고등학교 2학년, 고2, 수학I, 사인법칙 학습지, 사인법칙 문제, pdf, 다운, 다운로드, 사인법칙 개념, 학습지제작소
'수학 학습지 > 수학I' 카테고리의 다른 글
| [수학I] 32. 시그마로 식의 값(다항식의 합) 계산하기 (개념+수학문제) (0) | 2020.12.11 |
|---|---|
| [수학I] 31. 수열의 합 ∑(시그마)의 뜻과 성질 (개념+수학문제) (0) | 2020.12.08 |
| [수학I] 29. 등차수열 > 배수의 합, 서로소인 수의 합 (개념+수학문제) (0) | 2020.11.04 |
| [수학I] 28. 삼각부등식(삼각함수가 들어간 부등식) (개념+수학문제) (0) | 2020.11.03 |
| [수학I] 27. 삼각방정식 : 삼각함수가 포함된 방정식의 풀이 (개념+수학문제) (0) | 2020.10.28 |