
* 같이 보면 좋은 글
* 식의 값 구하기
식의 값을 구하는 방법은 다음과 같습니다.
[1단계] 식의 일반항을 찾습니다.
[2단계] 시그마 ∑를 이용하여 간단히 나타냅니다.
[3단계] 시그마의 여러 가지 성질을 이용하여 값을 구합니다.
예) 1×2+2×3+3×4+...+10×11을 계산하시오.
주어진 식을 a_1 + a_2 + a_3 + ... + a_10으로 생각하면,
일반항 a_n은


따라서 440입니다.
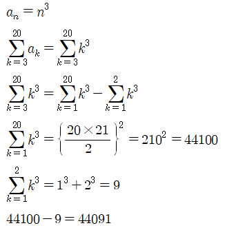
예)

주어진 식을 a_1 + a_2 + a_3 + ... + a_20으로 생각하면,
일반항 a_n은

따라서 44091입니다.
* 학습지 미리보기


* 첨부파일
* 닫는 말
이번 학습지는 규칙성을 가진 식의 값 구하기로, 시그마의 성질을 이용하여 주어진 식의 값을 구해야 합니다. 앞에서 살펴본 여러 가지 시그마의 성질을 공부한 후 문제를 풀어보시길 바랍니다.
✔ 저작물 관련 유의사항
- 본 저작물(문제 및 그림)은 학습지 제작소에 있으며, 비상업적, 상업적 이용이 가능합니다.
- 저작물을 사용 시 출처를 밝힌 후, 자유롭게 사용이 가능합니다.
- 학습지제작소의 저작물을 2차 배포하거나, 제 3자에게 제공하거나, 또는 출판하는 행위(ISBN이 포함된 서적으로 출판)는 엄격히 금지합니다.
Copyright. 2020. 학습지제작소. All Rights Reserved.
#태그 : 수학I, 수열의 합, 시그마, 식의 값 구하기, 학습지, 다운, 다운로드, pdf, 학습지제작소
'수학 학습지 > 수학I' 카테고리의 다른 글
| [수학I] 34. 코사인법칙 (개념+수학문제) (0) | 2020.12.26 |
|---|---|
| [수학I] 33. 수열의 귀납적 정의 (개념+수학문제) (0) | 2020.12.15 |
| [수학I] 31. 수열의 합 ∑(시그마)의 뜻과 성질 (개념+수학문제) (0) | 2020.12.08 |
| [수학I] 30. 삼각함수 > 사인법칙 (개념+수학문제) (0) | 2020.11.11 |
| [수학I] 29. 등차수열 > 배수의 합, 서로소인 수의 합 (개념+수학문제) (0) | 2020.11.04 |