
| 같이 보면 좋은 글
| 등비수열의 합
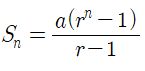
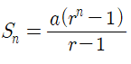
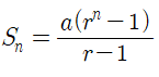
[정리] 첫째항이 a, 공비가 r인 등비수열에 대하여 첫째항부터 제n항까지의 합 S_n은

을 만족합니다.
<공식 유도>
첫째항은 a
제2항은 ar
제3항은 ar^2...
제n항은 ar^(n-1)
입니다.

이와 같은 방법으로 등비수열의 합 공식을 유도할 수 있습니다.
이제 여러가지 등비수열의 합을 구해봅시다.
예) 첫째항이 2, 공비가 2인 등비수열에서 첫째항부터 제7항까지의 합은

254입니다.
예) 첫째항이 5, 공비가 -3인 등비수열에서 첫째항부터 제5항까지의 합은

305입니다.
| 학습지 미리보기


| 첨부파일
| 닫는 말
등비수열의 합 공식은 첫째항과 공비, 항의 개수를 이용하면 구할 수 있습니다.
거듭제곱수를 알고 있다면 쉽게 계산할 수 있습니다.
특히 밑이 2인 수는 10제곱까지,
밑이 3인 수는 5제곱까지 외우고 있으면 쉽게 계산할 수 있습니다.
✔ 저작물 관련 유의사항
- 본 저작물(문제 및 그림)은 학습지 제작소에 있으며, 비상업적, 상업적 이용이 가능합니다.
- 저작물을 사용 시 출처를 밝힌 후, 자유롭게 사용이 가능합니다.
- 학습지제작소의 저작물을 2차 배포하거나, 제 3자에게 제공하거나, 또는 출판하는 행위(ISBN이 포함된 서적으로 출판)는 엄격히 금지합니다.
Copyright. 2020. 학습지제작소. All Rights Reserved.
#태그 : 수학I, 수학1 수열, 수열의 합, 등비수열의 합 공식 유도, 등비수열의 합 무료문제, 등비수열의 합 학습지, 다운, 다운로드, 학습지제작소
'수학 학습지 > 수학I' 카테고리의 다른 글
| [보충] 수열의 합(∑) 구하기 50문제 학습지 (수학I) (0) | 2020.08.29 |
|---|---|
| [수학I] 23. 수열의 합(Sn)과 일반항(an)의 관계 (개념+수학문제) (0) | 2020.08.26 |
| [수학I] 21. 등비수열의 일반항 (개념+수학문제) (0) | 2020.08.22 |
| [수학I] 20. 등차수열의 합 구하는 방법 (개념+공식+수학문제) (0) | 2020.08.17 |
| [수학I] 19. 등차수열의 성질 : 공식, 항 구하기 (개념+수학문제) (0) | 2020.08.15 |