
(2020-08-26 17:18 수정) 문제지에 잘못된 표현이 있어 수정하였습니다.
| 같이 보면 좋은 글
| 수열의 합에서 일반항 구하기
(1) 수열의 합과 일반항 표기
일반적으로 수열 {a_n}에 대하여 제1항부터 제n항까지의 합은 S_n이라고 부릅니다.
합의 영어식 표현이 sum이기 때문이죠.
합은 여러 일반항을 더한 것이기 때문에 수열의 합은 대문자로, 일반항은 소문자로 표시합니다.
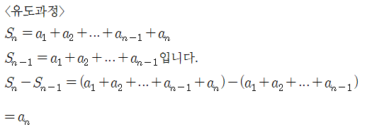
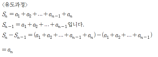
(2) 수열의 합에서 일반항 유도하기
수열의 합 S_n에 대하여 다음과 같은 관계식이 성립합니다.


(3) 이차식인 수열의 합에서 일반항 구하기
이차식인 수열의 합에서 일반항은 수열의 이웃한 합의 차를 구해 계산할 수 있습니다.
다만 제1항을 따로 조사해야 합니다.
만약 n=1일 때 제1항과 제n항이 일치한다면 a_n=(n에 대한 식)으로 적어도 괜찮지만,
일치하지 않는다면
n≥2일 때 a_n=(n에 대한 식)과
n=1일 때 a_1을 따로 적어야 합니다.
예)

예)

| 학습지 미리보기


| 첨부파일
| 닫는 말
이번 학습지는 이차식으로 주어진 수열의 합을 가지고 일반항을 구하거나두 항의 합을 구하는 문제로 구성했습니다.
문제를 풀어보며 수열의 합과 일반항 사이의 관계를 연습해보시길 바랍니다.
✔ 저작물 관련 유의사항
- 본 저작물(문제 및 그림)은 학습지 제작소에 있으며, 비상업적, 상업적 이용이 가능합니다.
- 저작물을 사용 시 출처를 밝힌 후, 자유롭게 사용이 가능합니다.
- 학습지제작소의 저작물을 2차 배포하거나, 제 3자에게 제공하거나, 또는 출판하는 행위(ISBN이 포함된 서적으로 출판)는 엄격히 금지합니다.
Copyright. 2020. 학습지제작소. All Rights Reserved.
#태그 : 수학I, 수1, 고2, 고등학교 2학년, 수열의 합, 일반항, Sn, an, 수열의 합 일반항 구하는 법, 학습지제작소
'수학 학습지 > 수학I' 카테고리의 다른 글
| [수학I] 24. 원리합계, 복리 계산 - 등비수열의 활용 (개념+수학문제) (0) | 2020.09.01 |
|---|---|
| [보충] 수열의 합(∑) 구하기 50문제 학습지 (수학I) (0) | 2020.08.29 |
| [수학I] 22. 등비수열의 합 (개념+공식+수학문제) (0) | 2020.08.24 |
| [수학I] 21. 등비수열의 일반항 (개념+수학문제) (0) | 2020.08.22 |
| [수학I] 20. 등차수열의 합 구하는 방법 (개념+공식+수학문제) (0) | 2020.08.17 |