안녕하세요, 학습지제작소입니다.
오늘은 고등학교 2학년 연산문제를 포스팅해보려고 합니다.
고등학교 2학년 수학 I 과목에서는
1) 지수함수와 로그함수
2) 삼각함수
3) 수열
을 공부하는데요, 세 단원 모두 함수 개념이 포함되어있습니다.
또한, 새로운 개념의 등장과 함께 여러 연산에 익숙해질 필요도 있습니다.
고등학교 2학년 수학 I 학습지는 지수함수와 로그함수부터 다룹니다.
그리고,
첫번째 주제는 지수의 확장으로 정하였습니다.
* 지수의 확장이 무엇인가?
중학교 수준에서 지수는 자연수의 범위 내에서 다룹니다.
고등학교 수준에서는 지수를 정수, 분수, 소수, 유리수, 무리수까지 확장합니다.
(1) 정수로써의 지수

자연수로써의 지수는 왼쪽 식과 같이 지수가 자연수인 경우입니다. 지수는 밑을 곱한 횟수로,
준식을 보시면 a가 세 번 곱해져 있습니다.
그리고, 중학교 과정에서는 지수법칙을 공부하는데, 다음과 같습니다.

우리는 이 세 가지 지수법칙을 통해 정수로 지수를 확장할 수 있습니다.

은 지수가 0인 경우로,

로 표현할 수 있습니다. 이는 두 번째 지수법칙에 의해

로 표현이 가능합니다. 따라서 1입니다.

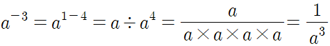
은 지수가 -3인 경우로,

가 성립합니다. 따라서 지수를 절댓값으로 취한 후 역수를 취하면 값을 얻을 수 있습니다.
(2) 유리수로써의 지수
유리수의 정의는 정수 m,n에 대하여 m분의 n으로 나타낼 수 있는 수를 의미합니다. (단, m은 0이 아님)
우리는 아래와 같은 공식을 통해 지수를 유리수로 확장할 수 있습니다.

좌항과 같은 식을 거듭제곱근이라고 부르는데요, 수학 I 교과서에서는 거듭제곱근이 존재함을 짚어주어, 지수가 분수(유리수)로 취할 수 있음을 보여주고 있습니다.
거듭제곱근은 2 이상의 자연수 n, 실수 a에 대하여 방정식

을 만족시키는 실수 x의 값을 의미합니다.
n이 홀수이면 해는 항상 한 개 존재하고,
n이 짝수라면
-> a가 양수일 때 : 2개
-> a가 0일 때 : 1개
-> a가 음수일 때 : 존재하지 않음
이 성립합니다.
만약 위 방정식에서 n이 3, a가 8이라면,

이 성립하는데요, 이에 2를 대입하면 성립하므로 실근 2를 갖습니다.
그런데 이 식을 달리 해석해보면

이라는 의미를 갖는데요, 이를 지수법칙에 적용해보면,

를 만족합니다. 따라서 지수가 유리수더라도 값이 존재할 수 있음을 알 수 있습니다.
(3) 무리수로써의 지수
무리수는 지수가 루트일 때 유도할 수 있는데요,

에 대하여

가 성립합니다. 지수 루트 2는 양수이므로,

가 실수로써 존재함을 알 수 있습니다.
학습지제작소는 지수가 정수, 유리수인 경우 어떤 값을 가지는지, 간단한 곱셈과 나눗셈의 값은 어떻게 되는지 연습할 수 있도록 연산 문제를 준비했습니다.


과외 자료로 활용하거나, 간단한 연산 연습을 매일 하고 싶다면 다운받아 활용하시길 바랍니다.
오늘도 좋은 하루 보내세요~
#태그 : 고등학교 2학년, 고등학교 2학년 수학, 수학I, 지수의 확장, 지수법칙, 거듭제곱근, 지수함수와 로그함수, 지수함수 문제, 지수 문제, 고2 수학 문제, 다운, 다운로드, 지수의 확장 문제, 유리수, 무리수, 연산 문제
※ 저작물 관련 유의사항
- 본 저작물(문제 및 그림)은 학습지 제작소에 있으며, 비상업적, 상업적 이용이 가능합니다.
- 저작물을 사용 시 출처를 밝힌 후, 자유롭게 사용이 가능합니다.
Copyright. 2020. 학습지제작소. All Rights Reserved.
'수학 학습지 > 수학I' 카테고리의 다른 글
| [수학I] 6. 상용로그로 자릿수 구하기 (개념 + 수학문제) (0) | 2020.03.11 |
|---|---|
| [수학I] 5. 상용로그의 성질, 밑변환, 값 구하기 (개념+수학문제) (1) | 2020.03.07 |
| [수학I] 4. 로그의 성질, 로그가 들어간 공식 (개념+수학문제) (2) | 2020.03.03 |
| [수학I] 3. 로그, 밑, 진수의 뜻 (개념+수학문제) (2) | 2020.02.29 |
| [수학I] 2. 지수의 확장 (2) : 무리수인 지수의 계산 (개념+수학문제) (2) | 2020.02.26 |