안녕하세요, 학습지제작소입니다.
이번 포스팅은 고등학교 2학년 수학 I
1단원 지수함수와 로그함수 두 번째 학습지를 공유하고자 합니다.
이번 주제 역시 지수의 확장이며, 지수가 유리수인 경우에서 나아가 무리수인 경우에 대해 공부하고자합니다.
* 지수가 무리수일 때 지수법칙
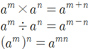
우리가 살펴본 지수법칙은 아래와 같습니다.

위 지수법칙은 m,n이 실수일 때 성립하는데요, 무리수 역시 실수이므로 지수법칙이 적용됩니다.
이번 포스팅에서는 지수에 근호가 있는 경우 위주로 살펴보도록 하겠습니다.

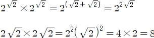
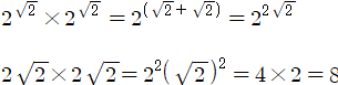
준식은 밑이 2이고 지수가 루트 2인 두 수의 곱입니다. 수학I을 처음 공부한다면,

와 헷갈릴 수 있는데요, 이 식은 2와 루트 2가 곱해진 수를 제곱한 것이므로 값이 8입니다.
하지만 처음 식은 지수법칙이 적용되어 밑이 2이고 지수가 2루트2인 수가 됩니다.
수식으로 표현하자면,

입니다.
즉, 밑이 같은 두 수의 곱셈은 지수의 덧셈임을 알 필요가 있습니다.
예)

두 번째 예를 살펴봅시다. 다음 식은 지수법칙의 3번째에 속한 유형으로, 3의 루트2제곱이 루트2만큼 제곱되어 있는 식입니다.

이 경우, 지수 루트 2와 2루트 2를 곱해야 하므로,

이 성립합니다. 즉, 지수가 있는 식의 거듭제곱은 지수의 곱셈입니다.
마지막 예를 풀어봅시다. 만약 거듭제곱이 역수의 형태로 취해 있다면, 어떻게 풀어야할까요?

이 역시 지수끼리의 곱셈을 적용할 수 있습니다.

또는, 지수의 나눗셈으로도 접근할 수 있습니다.

위 연습문제들과 같이, 지수가 무리수일 때에도 지수법칙이 적용가능함을 알 수 있습니다.
다시 한번 연습문제를 풀어봅시다.
1.

2.

3.

4.



이번 학습지는 1번 학습지 지수의 확장(1)과 연계하여, 지수가 유리수인 경우와 무리수인 경우 모두 학습할 수 있도록 만들었습니다. 지수법칙을 올바르게 적용하는 연습이 되었으면 좋겠습니다.
첨부파일은 아래와 같습니다.
이상 학습지제작소였습니다.
감사합니다.
#태그 : 수학1, 고등학교 2학년 수학, 지수함수와 로그함수, 지수, 지수법칙, 무리수, 지수법칙, 지수의 연산, 다운, 다운로드, 연습문제
'수학 학습지 > 수학I' 카테고리의 다른 글
| [수학I] 6. 상용로그로 자릿수 구하기 (개념 + 수학문제) (0) | 2020.03.11 |
|---|---|
| [수학I] 5. 상용로그의 성질, 밑변환, 값 구하기 (개념+수학문제) (1) | 2020.03.07 |
| [수학I] 4. 로그의 성질, 로그가 들어간 공식 (개념+수학문제) (2) | 2020.03.03 |
| [수학I] 3. 로그, 밑, 진수의 뜻 (개념+수학문제) (2) | 2020.02.29 |
| [수학I] 1. 지수의 확장 (1) : 유리수인 지수의 계산 (개념 + 수학문제) (0) | 2020.02.20 |