
안녕하세요, 학습지제작소입니다.
오늘은 수학I '지수함수와 로그함수'의 다섯 번째 포스팅을 해 보려고 합니다.
지금까지 지수와 로그에 대해 공부해보았는데요, 앞 내용이 궁금하신 분들은 아래 링크를 활용하시길 바랍니다.
▶ [2020SP H2-01] 지수함수와 로그함수 > 지수의 확장 (1)
▶ [2020SP H2-02] 지수함수와 로그함수 > 지수의 확장 (2)
▶ [2020SP H2-03] 지수함수와 로그함수 > 로그의 의미
▶ [2020SP H2-04] 지수함수와 로그함수 > 로그의 연산
오늘 이야기해 볼 주제는 상용로그인데요, 상용로그의 의미와 구성 요소, 값 구하기 순서로 해보도록 하겠습니다.
| 상용로그의 의미
상용로그란, 밑을 10으로 가지는 로그를 의미합니다. 상용로그는 자연로그과 더불어 자주 사용하는 로그로, 밑을 생략해 표현합니다.

예를 들어, 밑이 2인 로그는 밑을 생략할 수 없지만, 밑이 10이면 그림과 같이 생략이 가능합니다.
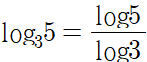
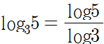
| 상용로그로 밑변환하기
상용로그는 밑을 생략하기 때문에 밑변환을 했을 때 더 간단하게 표현할 수 있습니다.

위와 같이 상용로그를 분자와 분모로 갖는 꼴로 고치면 밑을 생략하면서 더 간단히 나타낼 수 있습니다.
| 상용로그의 성질
상용로그는 밑이 10이기 때문에 고유한 특징을 가지는데요, 상용로그의 성질은 다음과 같습니다.
1. 진수에 10을 곱하면 로그의 값이 1 증가합니다.
2. 자연수 N에 대하여 logN은 다음과 같이 표현할 수 있습니다. (단, n이 정수, a(알파)가 0과 1 사이의 실수)

이때 자연수 N은 (n+1)자리 수입니다.
3. 소수 N에 대하여 logN을 n+a로 표현할 수 있을 때, 소수 N은 0이외의 숫자가 처음으로 소수 n째 자리에 나타납니다.
이때 n을 상용로그의 정수부분, a를 상용로그의 소수부분이라고 부릅니다.
2~3번 성질에 관해서는 다음 포스팅에서 더 자세히 알아보도록 하겠습니다.
| 상용로그의 값 구하기
상용로그의 값을 구하기 위해서는 진수가 1이상 10미만일 때 로그 값을 알아야합니다. 한 번 예제를 풀어봅시다.
<예제 1>

위 예제를 풀기 위해서는 log0.02를 간단히 나타내야 합니다.

이 과정을 통해 log0.02가 log2에서 2를 뺀 값임을 알 수 있습니다.
0.3010-2 = -1.6990
답 : -1.6990
<예제 2>

위 문제는 로그 값의 정수 부분과 소수 부분을 구하는 문제입니다.
log300은 log3+log100으로, log3+2입니다.
log3=0.4771로 0과 1 사이의 수입니다.
따라서 log300은 2와 0.4771의 합이고,
정수부분은 2, 소수부분은 0.4771입니다.
답 : 정수부분 2, 소수부분 0.4771

이번 학습지는 로그 값을 준 뒤, 다른 로그 값을 구하거나 정수/소수 부분을 구하는 문제들로 구성했습니다.
학습지 첨부파일은 아래에 있습니다.
오늘의 포스팅은 여기까지입니다. 도움이 되셨나요?
학습지제작소는 오늘도 여러분의 수학공부에 힘이 되고자 노력하겠습니다.
감사합니다.
#태그 : 지수함수와 로그함수, 상용로그, 로그 문제, 상용로그 문제, 정수부분, 소수부분, 자릿수, 지수, 로그, 학습지제작소, 수학I, 수I ,학습지제작소
'수학 학습지 > 수학I' 카테고리의 다른 글
| [수학I] 7. 지수함수의 뜻, 최대최소 (개념 + 수학문제) (0) | 2020.03.28 |
|---|---|
| [수학I] 6. 상용로그로 자릿수 구하기 (개념 + 수학문제) (0) | 2020.03.11 |
| [수학I] 4. 로그의 성질, 로그가 들어간 공식 (개념+수학문제) (2) | 2020.03.03 |
| [수학I] 3. 로그, 밑, 진수의 뜻 (개념+수학문제) (2) | 2020.02.29 |
| [수학I] 2. 지수의 확장 (2) : 무리수인 지수의 계산 (개념+수학문제) (2) | 2020.02.26 |