
| 같이 보면 좋은 글
| 제곱근의 덧셈과 뺄셈
제곱근이 들어간 식은 곱셈식과 나눗셈식 말고도
덧셈식과 뺄셈식이 있습니다.
제곱근의 덧셈과 뺄셈은 곱셈과 나눗셈과 다르게, 근호 안의 수가 서로 다르다면 더 이상 계산할 수 없습니다.
[정리] 제곱근의 덧셈과 뺄셈은 다음과 같은 방법으로 계산합니다.
1. 각 항을 정리하여 a√b꼴로 나타내기 (a는 유리수, b는 소수(2,3,5... 등))
2. 근호 안의 수가 같은 경우 더하거나 빼 하나로 나타내기
예) 2√3+3√3=5√3
3. 근호 안의 수가 서로 다른 경우 더하거나 빼지 않기
여러 가지 예제를 풀어보면서 제곱근의 덧셈과 뺄셈을 익혀봅시다.
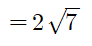
예제 1)

모든 항의 근호 안의 숫자가 7이므로, 항을 정리할 필요가 없습니다.
앞 항부터 빼면,

두 항을 더하면,

입니다.
예제 2)

이 문제는 근호 안의 숫자가 서로 같지 않습니다.
먼저 소인수분해를 이용하여 a√b꼴로 나타내어봅시다.

a√b꼴로 나타내었을 때 근호 안의 수는 모두 5입니다.
따라서 하나의 항으로 간단히 나타낼 수 있습니다.

예제 3)

이 문제는 모든 항이 a√b꼴로 정리되어 있습니다.
다만, 근호 안의 수가 3 또는 7이므로, 두 종류의 항은 더 이상 계산할 수 없습니다.
덧셈의 교환법칙을 적용하면,

이고, 근호 안의 수가 서로 같은 항끼리 계산하면

입니다.
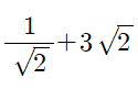
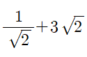
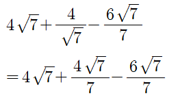
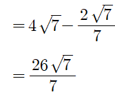
예제 4)

[참고] 분모에 근호가 있는 식은 유리화해야 덧셈과 뺄셈이 가능합니다.
첫 번째 항을 유리화하면,

각 항의 근호 안의 수가 모두 2이므로, 더하여 하나의 항으로 나타낼 수 있습니다.

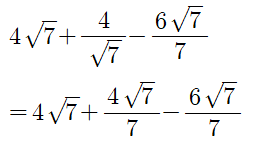
예제 5)

근호 안의 수가 112, 7, 252로 서로 다르므로, a√b꼴로 나타내어줍니다.

두 번째 항을 유리화하면,

덧셈의 결합법칙을 이용해 두 번째 항과 세 번째 항을 더하면,

| 학습지 미리보기


| 첨부파일
| 닫는 말
이번 학습지는 제곱근의 덧셈과 뺄셈으로, 근호가 포함된 식의 계산 중 동류항 개념이 들어가 있는 계산입니다. 앞에서 배웠던 문자와 식(중학교 1학년), 제곱근의 곱, 분모의 유리화를 떠올리며 계산하면, 무리수의 덧셈과 뺄셈을 할 수 있을 것입니다. 식을 어떻게 하면 간단히 나타낼 수 있는지 다양한 유형을 풀어보며 전략을 세워봅시다.
✔ 저작물 관련 유의사항
- 본 저작물(문제 및 그림)은 학습지 제작소에 있으며, 비상업적, 상업적 이용이 가능합니다.
- 저작물을 사용 시 출처를 밝힌 후, 자유롭게 사용이 가능합니다.
- 학습지제작소의 저작물을 2차 배포하거나, 제 3자에게 제공하거나, 또는 출판하는 행위(ISBN이 포함된 서적으로 출판)는 엄격히 금지합니다.
Copyright. 2020. 학습지제작소. All Rights Reserved.
#태그 : 무리수, 근호, 제곱근, 무리수의 덧셈과 뺄셈, 근호가 들어간 식의 덧셈과 뺄셈, 제곱근의 덧셈과 뺄셈, 연습문제, 무료, 다운, 다운로드, 중3, 중학교 3학년, 학습지제작소
'수학 학습지 > 중학교 3학년 1학기' 카테고리의 다른 글
| 곱셈공식, 제곱공식, 완전제곱식, 합차공식 (개념+수학문제) (0) | 2020.08.11 |
|---|---|
| 다항식의 곱셈, (a+b)(c+d) 전개하기 (개념+수학문제) (0) | 2020.08.10 |
| 제곱근의 나눗셈, 분모의 유리화 (개념+수학문제) (0) | 2020.08.01 |
| 제곱근의 곱셈, a√b(a루트b)꼴로 나타내기 (개념+수학문제) (0) | 2020.07.21 |
| 무리수의 뜻 의미, 제곱근표를 이용해 무리수의 값 구하기 (개념+수학문제) (0) | 2020.07.16 |