
| 같이 보면 좋은 글
| 중학교 곱셈공식
중학교 3학년 수학에서 공부하는 곱셈공식은 다음과 같습니다.

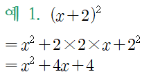
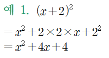
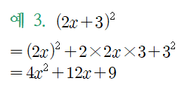
1번과 2번은 완전제곱식으로,
완전히 같은 두 다항식이 제곱의 형태로 묶여 있는 식입니다.
3번은 합차공식으로,
두 다항식의 항은 서로 같지만 하나의 항은 덧셈기호로,
다른 항은 뺄셈 기호로 연결되어 있는 식입니다.
다섯가지 곱셈공식을 적용해서 문제를 풀어봅시다.

이 문제는 (a+b)^2 꼴 완전제곱식을 전개하는 문제입니다.

이 문제는 (a-b)^2 꼴을 전개하는 문제입니다.

이 문제는 합차공식을 적용하는 문제입니다.



| 학습지 미리보기


| 첨부파일
| 닫는 말
이번 학습지는 곱셈 공식이 다섯 가지이고, 여러 문제를 풀어보아야 하기 때문에 3day치(30문제)로 구성했습니다. 식을 전개해보면서 이차식을 간단히 만드는 연습을 해보시길 바랍니다.
✔ 저작물 관련 유의사항
- 본 저작물(문제 및 그림)은 학습지 제작소에 있으며, 비상업적, 상업적 이용이 가능합니다.
- 저작물을 사용 시 출처를 밝힌 후, 자유롭게 사용이 가능합니다.
- 학습지제작소의 저작물을 2차 배포하거나, 제 3자에게 제공하거나, 또는 출판하는 행위(ISBN이 포함된 서적으로 출판)는 엄격히 금지합니다.
Copyright. 2020. 학습지제작소. All Rights Reserved.
#태그 : 중3, 중학교 3학년, 이차방정식, 다항식의 전개, 다항식 곱셈공식, 중학교 곱셈공식, 완전제곱식, 합차공식, (a+b)^2, (a-b)^2, (a+b)(a-b), 연습문제, 학습지, 무료, 다운, 다운로드, pdf, 학습지제작소
'수학 학습지 > 중학교 3학년 1학기' 카테고리의 다른 글
| 인수분해 (개념+공식+연습문제) (3) | 2020.08.21 |
|---|---|
| 곱셈공식을 활용한 수의 계산, 분모의 유리화 (개념+수학문제) (0) | 2020.08.17 |
| 다항식의 곱셈, (a+b)(c+d) 전개하기 (개념+수학문제) (0) | 2020.08.10 |
| 제곱근(무리수)의 덧셈과 뺄셈 (개념+수학문제) (0) | 2020.08.04 |
| 제곱근의 나눗셈, 분모의 유리화 (개념+수학문제) (0) | 2020.08.01 |