
| 같이 보면 좋은 글
| 곱셈공식을 활용한 수의 계산
완전제곱식을 비롯한 곱셈공식을 이용하면, 복잡한 자연수의 곱셈을 쉽게 계산할 수 있습니다.
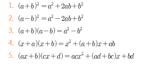
자연수의 곱셈에서 사용할 수 있는 곱셈공식은 크게 네 가지 입니다.

이 중 1~4번은 자연수의 곱셈에 대입하면 계산이 수월해지는 공식들입니다.
예) 102×102를 계산해봅시다.
a=100, b=2로 놓으면
(a+b)×(a+b)로 나타낼 수 있습니다.
이는 완전제곱식이므로, 전개한 공식을 대입해봅시다.
a^2 = 100×100 = 10000 (^2는 제곱을 나타냅니다.)
2ab = 2×100×2 = 400b^2 = 2×2 = 4
10000+400+4 = 10404
따라서 102×102 = 10404입니다.
예) 397^2를 계산해봅시다.
a=400, b=3으로 놓으면(a-b)×(a-b)로 나타낼 수 있습니다.
전개한 공식을 대입하면
a^2 = 400^2 = 1600002ab = 2×400×3 = 2400b^2 = 3^2 = 9
160000-2400+9 = 136009
따라서 136009입니다.
예) 105×98을 계산해봅시다.
a=100, b=5, c=-2로 놓으면,(a+b)×(a+c)로 나타낼 수 있습니다.
(100+5)(100-2)를 전개하면,
100^2 + 3×100 - 10= 10000+300-10= 10290
따라서 10290입니다.
| 합차공식을 이용한 분모의 유리화
합차공식 (a+b)(a-b) = a^2 - b^2 를 이용하면
분모를 유리수로 고칠 수 있습니다.
예)

예)

| 학습지 미리보기



| 첨부파일
| 닫는 말
이번 학습지는 곱셈공식을 통한 수의 계산 (20문제)과 곱셈공식을 통한 분모의 유리화 (20문제)를 모두 풀 수 있도록 4day 40문제로 구성했습니다.
곱셈공식이 문자가 아닌 수로 제시되어있기 때문에 식의 생김새를 보고 어떤 곱셈공식을 구해야 할지 추론해보아야 합니다.
특히 분모의 유리화에서는 제곱했을 때 근호가 사라진다는 점에 유의하며 문제를 풀어봅시다.
✔ 저작물 관련 유의사항
- 본 저작물(문제 및 그림)은 학습지 제작소에 있으며, 비상업적, 상업적 이용이 가능합니다.
- 저작물을 사용 시 출처를 밝힌 후, 자유롭게 사용이 가능합니다.
- 학습지제작소의 저작물을 2차 배포하거나, 제 3자에게 제공하거나, 또는 출판하는 행위(ISBN이 포함된 서적으로 출판)는 엄격히 금지합니다.
Copyright. 2020. 학습지제작소. All Rights Reserved.
#태그 : 중학교 3학년, 중3, 곱셈공식을 이용한 수의 계산, 분모의 유리화, 합차공식을 이용한 유리화, 연습문제, 다운, 다운로드, pdf, 학습지제작소
'수학 학습지 > 중학교 3학년 1학기' 카테고리의 다른 글
| 이차방정식의 뜻과 풀이 (1) : 인수분해를 이용한 해 구하기 (개념+수학문제) (0) | 2020.08.24 |
|---|---|
| 인수분해 (개념+공식+연습문제) (3) | 2020.08.21 |
| 곱셈공식, 제곱공식, 완전제곱식, 합차공식 (개념+수학문제) (0) | 2020.08.11 |
| 다항식의 곱셈, (a+b)(c+d) 전개하기 (개념+수학문제) (0) | 2020.08.10 |
| 제곱근(무리수)의 덧셈과 뺄셈 (개념+수학문제) (0) | 2020.08.04 |