
| 같이 보면 좋은 글
| 제곱근의 곱셈
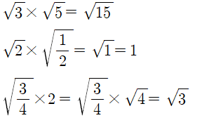
a,b가 양수일 때, √a√b = √ab입니다.
예를 들어, 다음과 같은 식이 있습니다.

[정리] 근호 안의 수가 모두 양수일 때 근호 안의 수를 곱해 곱을 구할 수 있다.
| a√b꼴로 나타내기
제곱근의 곱셈을 이용하면 제곱근을 자연수와 제곱근의 곱으로 고칠 수 있습니다.

이 성질을 활용해 제곱근을 다르게 나타내봅시다.

루트 48의 근호 안의 자연수는 4×4×3입니다.
이를 거듭제곱으로 표현하면 다음과 같습니다.

거듭제곱수의 근호는 지울 수 있으므로,

입니다.
마찬가지로 루트 300을 a√b꼴로 나타내어봅시다.

[정리] a와 b가 양수일 때

| 학습지 미리보기


| 첨부파일
| 닫는 말
근호 안의 수는 a√b로 나타내어 줄 필요가 있습니다. 그래야 뒤에서 공부할 무리수의 덧셈과 뺄셈, 이차방정식의 근 등에서 활용할 수 있기 때문입니다. 이번 학습지는 a√b로 나타내는 문제와
a√b꼴을 가지는 수를 √a꼴로 묶는 문제로 구성했습니다.
✔ 저작물 관련 유의사항
- 본 저작물(문제 및 그림)은 학습지 제작소에 있으며, 비상업적, 상업적 이용이 가능합니다.
- 저작물을 사용 시 출처를 밝힌 후, 자유롭게 사용이 가능합니다.
- 학습지제작소의 저작물을 2차 배포하거나, 제 3자에게 제공하거나, 또는 출판하는 행위(ISBN이 포함된 서적으로 출판)는 엄격히 금지합니다.
Copyright. 2020. 학습지제작소. All Rights Reserved.
#태그 : 근호, 제곱근, 제곱근의 곱셈, 문제, 다운, 다운로드, 연습문제, 중3, 중학교 3학년, 학습지제작소
'수학 학습지 > 중학교 3학년 1학기' 카테고리의 다른 글
| 제곱근(무리수)의 덧셈과 뺄셈 (개념+수학문제) (0) | 2020.08.04 |
|---|---|
| 제곱근의 나눗셈, 분모의 유리화 (개념+수학문제) (0) | 2020.08.01 |
| 무리수의 뜻 의미, 제곱근표를 이용해 무리수의 값 구하기 (개념+수학문제) (0) | 2020.07.16 |
| 제곱근의 크기 비교하기 (개념+수학문제) (0) | 2020.07.13 |
| 근호(제곱근, 루트)가 들어간 식 계산하기 (개념+수학문제) (0) | 2020.07.09 |