
| 같이 보면 좋은 글
📄 [중3-1] 근호(루트) 쓰는 법, 제곱근 a, a의 제곱근 차이점
| {√a}의 제곱, √{a 제곱}의 차이점
{√a}의 제곱과 √{a 제곱}은 서로 다른 표현입니다.
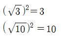
(1) {√a}의 제곱

로 나타내며, √a를 두 번 곱한 값입니다.
따라서 a와 값이 서로 같습니다.
그래서 이렇게 생긴 표현은 근호 안의 수와 값이 서로 같습니다.

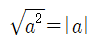
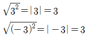
(2) √{a 제곱}

로 나타내며, a의 제곱의 양의 제곱근입니다.
따라서 절댓값 a와 값이 서로 같습니다.


| 근호를 풀어 계산하기
{√a}의 제곱과 √{a 제곱}이 들어간 식은 유리수의 범위에서 계산할 수 있습니다.

를 계산해봅시다.


| 학습지 미리보기


| 첨부파일
| 닫는 말
근호 안의 수가 제곱수이거나 제곱으로 표현되어 있는 경우, 유리수의 범위에서 간단히 나타낼 수 있습니다. 문제를 풀어보며, 식이 나타내는 의미를 파악하고, 알맞은 값을 구해봅시다.
✔ 저작물 관련 유의사항
- 본 저작물(문제 및 그림)은 학습지 제작소에 있으며, 비상업적, 상업적 이용이 가능합니다.
- 저작물을 사용 시 출처를 밝힌 후, 자유롭게 사용이 가능합니다.
- 학습지제작소의 저작물을 2차 배포하거나, 제 3자에게 제공하거나, 또는 출판하는 행위(ISBN이 포함된 서적으로 출판)는 엄격히 금지합니다.
Copyright. 2020. 학습지제작소. All Rights Reserved.
#태그 : 실수와 그 계산, 무리수, 근호, 루트, 식, 계산, 문제, 다운, 다운로드, 학습지, 연습문제, 무료. 연산문제, pdf, 중3, 중학교 3학년 1학기 수학, 학습지제작소
'수학 학습지 > 중학교 3학년 1학기' 카테고리의 다른 글
| 제곱근의 곱셈, a√b(a루트b)꼴로 나타내기 (개념+수학문제) (0) | 2020.07.21 |
|---|---|
| 무리수의 뜻 의미, 제곱근표를 이용해 무리수의 값 구하기 (개념+수학문제) (0) | 2020.07.16 |
| 제곱근의 크기 비교하기 (개념+수학문제) (0) | 2020.07.13 |
| 근호(루트) 쓰는 법, 제곱근 a, a의 제곱근 차이점(개념 + 수학문제) (0) | 2020.07.03 |
| 제곱근의 뜻, 제곱근 구하기 (개념+수학문제) (0) | 2020.06.30 |