
* 같이 보면 좋은 글
📄 평균변화율
* 순간변화율
평균변화율은 닫힌구간 [a,b]에서 평균적으로 변화하는 정도를 의미했습니다.
그렇다면 함수의 순간적인 변화율은 어떻게 구할 수 있을까요?
오늘은 순간변화율의 의미를 알아보고, 극한의 성질을 이용하여 직접 구해봅시다.
[복습] 평균변화율
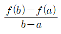
닫힌구간 [a,b]에서 함수 f(x)의 평균변화율은 다음과 같이 구했습니다.* x증분 : a에서 b로 변화하므로 b-a* y증분 : f(a)에서 f(b)로 변화하므로 f(b)-f(a)
이를 식으로 나타내면,

입니다.
예를 들어, 구간 [0,2]에서 함수 f(x)=2x-1의 평균변화율은
f(0)=-1, f(2) = 2×2-1=3이므로,
x증분은 2
y증분은 f(2)-f(0)=3-(-1)=4입니다.
따라서 평균변화율은 4÷2=2입니다.
순간변화율의 아이디어 : 구간 [a,b]에서 b를 a에 최대한 가깝게 해보자.

좌표평면 위 곡선 y=f(x)에 대하여 구간 [a,b]의 평균변화율은
붉은 직선의 기울기와 같습니다.
점 (b,f(b))를 점(a,f(a))에 가깝게 놓아봅시다.

두 점이 서로 가까워지면 가까워질수록 점(a,f(a))에서 순간변화율과 가까워짐을 알 수 있습니다.
이때, 극한을 이용하면 수학적으로 정확한 순간변화율을 구할 수 있습니다.
h->0으로 갈 때, b를 a+h로 놓는 것이죠.
이 방법을 사용하면
x증분 : a에서 a+h로 변화했으므로 h
y증분 : f(a)에서 f(a+h)로 변화했으므로 f(a+h)-f(a)
임을 구할 수 있고, 변화율의 극한값을 구할 수 있습니다.
이 극한값이 바로 순간변화율입니다.

x=a에서의 순간변화율은 x=a에서의 미분계수로도 불립니다.
간단하게 f'(a)로 표현하기도 합니다.
예제를 함께 풀어봅시다.
예)

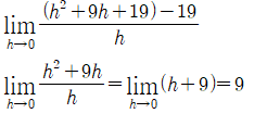
미분계수를 구하는 문제는 f(3+h)와 f(3)를 구하고, 극한의 성질을 이용해 계산할 수 있습니다.

이때
x증분은 h,
y증분은 f(h+3)-f(3) = h^2+9h가 됩니다.

따라서 x=3에서의 미분계수는 (또는 f'(3))
9입니다.
* 학습지 미리보기


* 첨부파일
* 닫는 말
이번 학습지는 미분계수를 구하는 학습지로, 이차함수, 일차함수, 상수함수의 순간변화율을 구하는 내용으로 구성했습니다. 물론 나중에 도함수로 구해 간단히 계산할 수 있겠지만, 극한의 성질을 이용하여 계산해보시길 바랍니다. 논술형으로 제시될 때 대비할 수도 있고, 무엇보다도 미분의 의미를 공부할 때 바탕이 되기 때문입니다. 오늘 공부도 화이팅하시길 바랍니다. 감사합니다.
✔ 이 글이 도움이 되셨나요?
- 댓글이나 자유게시판에 글을 남겨주세요. 글쓴이에게 큰 힘이 됩니다.
- 학습지제작소를 구독하시면 빠르게 소식을 받아보거나 프리미엄 학습지를 신청하실 수 있습니다.
✔ 저작물 관련 유의사항
- 본 저작물(문제 및 그림)은 학습지제작소에 있으며, 비상업적, 상업적 이용(수업에서 부교재로 사용하는 경우만)이 가능합니다.
- 저작물을 사용 시 출처를 밝힌 후, 자유롭게 사용이 가능합니다.
- 학습지제작소의 저작물을 관리자의 동의없이 2차 배포하거나, 제 3자에게 제공하거나, 또는 출판하는 행위(ISBN이 포함된 서적으로 출판)는 엄격히 금지합니다.
Copyright. 2020. 학습지제작소. All Rights Reserved.
#태그 : 고등학교 2학년 수학, 수학II, 수학2, 미분, 미분 뜻, 미분계수 뜻, 순간변화율, 순간변화율 극한 계산하는 법, 극한 학습지, 순간변화율 학습지, 미분계수 연습문제, 다운, 다운로드, 학습지제작소
'수학 학습지 > 수학II' 카테고리의 다른 글
| 도함수의 의미와 구하는 법, 연습문제 (수학2) (0) | 2021.02.07 |
|---|---|
| 접선의 기울기와 미분계수, 미분계수의 기하적 의미 (개념+수학문제) (0) | 2021.01.30 |
| 평균변화율, 증분 (수학2 개념+수학문제) (0) | 2021.01.15 |
| [수학II] 3. 극한 표현으로 함수 f(x) 구하기 (개념+수학문제) (1) | 2020.09.04 |
| [수학II] 2. 함수의 극한 (2) : 극한의 성질 (개념+수학문제) (0) | 2020.08.30 |