
* 같이 보면 좋은 글
* 극한 표현을 가지고 함수 f(x) 구하기
[정리] 극한 lim 표현에서는 다음과 같은 사실을 찾아야 합니다.
(1) x가 무한대로 갈 때 : 최고차항의 계수
(2) x가 a로 갈 때 : f(a)의 값과 극한값
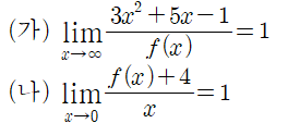
예를 들어, 다항함수 f(x)에 대하여 두 조건이 성립한다고 합시다.

(가)와 (나)에서 함수 f(x)에 대한 정보를 찾아봅시다.
(가)는 x가 무한대로 가는 상황으로,
분자는 이차식분모는 f(x)인 상황입니다.
극한값은 1로 수렴하므로,
f(x)는 이차식이고, 최고차항의 계수는
3임을 알 수 있습니다.
(나)는 x가 0으로 가까워지는 상황으로,
분자는 x→0일 때 f(x)+4,
분모는 x→0일 때
x인 상황입니다.
따라서 f(0)=-4이고,
{f(x)+4}/x의 극한값은 1임을 알 수 있습니다.
f(x) = 3x^2+bx+c로 놓으면
f(x)+4 = 3(x)(x+k)로 인수분해되고, (단 k는 실수)
x→0이면
lim {f(x)+4}/x
= lim {3(x)(x+k)}/x
= lim 3(x+k)
= 3k = 1
k= 1/3
입니다.
k를 f(x)+4 = 3x(x+k)
에 대입하면
f(x)+4 = x(3x+1)
f(x) = 3x^2+x-4
임을 알 수 있습니다.
* 학습지 미리보기


* 첨부파일
* 닫는 말
극한 표현을 가지고 함수를 구하는 문제는
극한에 대한 이해를 통해 다항함수를 추론해야 하는 문제입니다.
수능 및 모의고사, 학교 시험에서 자주 출제되는 유형이기 때문에
여러 유형을 반복적으로 풀어보면 도움이 될 것입니다.
이번 학습지는 다항함수를 구하는 여러 유형을 20문항으로 담아
극한에 대한 이해를 심화할 수 있도록 준비했습니다.
✔ 저작물 관련 유의사항
- 본 저작물(문제 및 그림)은 학습지 제작소에 있으며, 비상업적, 상업적 이용이 가능합니다.
- 저작물을 사용 시 출처를 밝힌 후, 자유롭게 사용이 가능합니다.
- 학습지제작소의 저작물을 2차 배포하거나, 제 3자에게 제공하거나, 또는 출판하는 행위(ISBN이 포함된 서적으로 출판)는 엄격히 금지합니다.
Copyright. 2020. 학습지제작소. All Rights Reserved.
#태그 : 수학2, 수학II, 고2, 고3, 고등학교 2학년 극한, 고등학교 3학년 극한, 극한을 통해 함수 추론하기, 극한 함숫값 구하기 문제, 극한 함수 문제, 함숫값 문제, 다운, 다운로드, pdf, 학습지제작소
'수학 학습지 > 수학II' 카테고리의 다른 글
| 접선의 기울기와 미분계수, 미분계수의 기하적 의미 (개념+수학문제) (0) | 2021.01.30 |
|---|---|
| 미분계수, 순간변화율 구하기 (개념+수학문제) (0) | 2021.01.25 |
| 평균변화율, 증분 (수학2 개념+수학문제) (0) | 2021.01.15 |
| [수학II] 2. 함수의 극한 (2) : 극한의 성질 (개념+수학문제) (0) | 2020.08.30 |
| [수학II] 1. 함수의 극한 (1) : 수렴과 발산 (개념+수학문제) (0) | 2020.08.20 |