
| 같이 보면 좋은 글
| 삼각형의 무게중심
(1) 무게중심의 뜻
삼각형의 무게중심은 중선의 교점입니다.
중선이란, 한 꼭짓점과 대변의 중점을 이은 선분을 뜻합니다.
삼각형 ABC에서 점 A를 지나는 중선을 그어봅시다.

BC의 중점을 M이라고 잡고 선분 AM을 긋습니다.

같은 방법으로 점 B와 C에서 각각 중선을 긋습니다.

이때 세 중선이 하나의 점을 지나는데, 이것이 무게중심입니다.
(2) 무게중심의 성질
[정리] 무게중심의 성질
1) 삼각형이 세 중선에 의해 나누어진 여섯 개의 삼각형의 넓이는 서로 같습니다.
2) 무게중심은 중선을 2:1로 내분합니다.
삼각형이 세 중선에 의해 나누어진 여섯 개의 삼각형의 넓이는 서로 같습니다.
첫 번째 성질부터 이야기해봅시다.
무게중심은 세 중선의 교점이기 때문에 여섯 조각 중
노란색, 초록색, 빨간색 부분의 두 영역은 각각
밑변이 서로 같습니다.

높이 또한 같으므로
같은 색깔을 칠한 두 영역의 넓이는 서로 같습니다.
노란 영역의 삼각형의 넓이를 a,
초록 영역의 삼각형의 넓이를 b,
붉은 영역의 삼각형의 넓이를 c라고 놓으면,
삼각형 ABM의 넓이는 a+2b
삼각형 ACM의 넓이는 a+2c입니다.
두 삼각형의 밑변과 높이의 길이가 서로 같으므로
넓이 또한 같습니다.
따라서 a+2b = a+2c
정리하면 b=c입니다.
중선 AM말고도 다른 중선에 같은 방법으로 식을 구하면
a=b, a=c를 얻을 수 있습니다.
따라서 a=b=c입니다.

삼각형의 무게중심은 중선을 2:1로 내분합니다.
무게중심으로 나뉘어진 여섯 개의 조각의 넓이가 모두 같으므로,
삼각형 ABG의 넓이는 2a, 삼각형 BMG의 넓이는 a로 놓을 수 있습니다.
두 삼각형의 넓이의 비는 2:1입니다.
두 삼각형은 변 BG를 공통으로 하면서, 밑변이 한 직선 상에 있으므로,
밑변의 비는 2:1입니다.
| 삼각형의 무게중심의 좌표
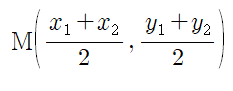
세 점 A(x1, y1), B(x2, y2), C(x3, y3)에 대하여
변 BC의 중점 M은

입니다.
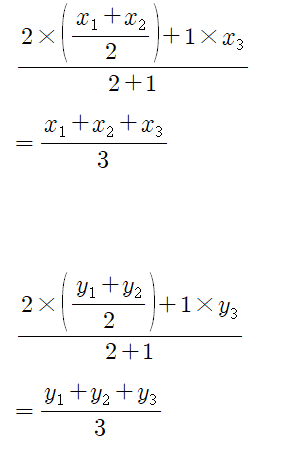
삼각형의 무게중심 G에 대하여 (선분 AG의 길이):(선분 GM의 길이)=2:1
G의 x좌표와 y좌표에 각각 내분점 공식을 대입하면,

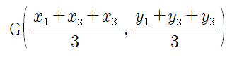
따라서 무게중심 G의 좌표는

입니다.
[참고] 삼각형의 무게중심의 좌표는 세 점의 좌표의 산술평균과 같다.
예) 세 점 A(7,-3), B(-1,4), C(-3, 2)을 꼭짓점으로 갖는 삼각형 ABC의 무게중심 G의 좌표를 구하시오.
무게중심의 x좌표를 구하면,
7+(-1)+(-3) = 3
3÷3 = 1
무게중심의 y좌표를 구하면,
(-3)+4+2 = 3
3÷3 = 1
따라서 무게중심 G의 좌표는
G(1,1)
| 학습지 미리보기


| 첨부파일
| 닫는 말
이번 학습지는 크게 세 점의 좌표를 주고 삼각형의 무게중심 좌표를 구하는 문제와,
두 점과 무게중심을 주고, 나머지 한 점의 좌표를 구하는 문제로 구성했습니다.
총 20문제로, 문제를 풀어보시면서 무게중심 좌표의 공식을 이해하고,
왜 산술평균을 좌표로 가지는지 생각해보시길 바랍니다.
✔ 저작물 관련 유의사항
- 본 저작물(문제 및 그림)은 학습지 제작소에 있으며, 비상업적, 상업적 이용이 가능합니다.
- 저작물을 사용 시 출처를 밝힌 후, 자유롭게 사용이 가능합니다.
- 학습지제작소의 저작물을 2차 배포하거나, 제 3자에게 제공하거나, 또는 출판하는 행위(ISBN이 포함된 서적으로 출판)는 엄격히 금지합니다.
Copyright. 2020. 학습지제작소. All Rights Reserved.
#태그 : 고등수학(상), 고1, 고등학교 1학년 무게중심, 삼각형의 무게중심 유도, 삼각형의 무게중심 공식, 무게중심 좌표평면 문제, 다운, 다운로드, 무게중심 연습문제, pdf, 학습지제작소
'수학 학습지 > 공통수학1' 카테고리의 다른 글
| 두 직선의 평행조건, 수직조건 (고등수학 (상) 개념+수학문제) (0) | 2020.08.28 |
|---|---|
| 직선의 방정식 (고등수학 (상) 개념+수학문제) (2) | 2020.08.23 |
| 내분점과 외분점 (개념+공식+수학문제) (0) | 2020.08.19 |
| 좌표평면 위의 세 점에 대한 삼각형의 조건 (개념+수학문제) (0) | 2020.08.16 |
| 두 점 사이의 거리 공식 (개념+수학문제) (0) | 2020.08.13 |