
| 같이 보면 좋은 글
| 직선의 방정식
실수 a,b,c에 대하여
x축과 y축을 갖는 좌표평면 위의 직선은
ax+by+c=0
꼴로 나타낼 수 있습니다.
예)
두 점 (1,0), (3,2)를 지나는 직선은
두 가지 방법으로 풀 수 있습니다.
i) 직선의 방정식에 대입하기
a+c=0 ......(ㄱ)
3a+2b+c=0 ...(ㄴ)을 만족합니다.
(ㄱ) - (ㄴ)-2a-2b=0-a-b=0b=-a
a를 1로 놓으면b=-1, c=-1
따라서 직선의 방정식은 x-y-1=0
ii) 일차함수식에 대입하기
(1,0), (3,2)사이의 기울기를 조사하면
x의 증가량 : +2y의 증가량 : +2로
기울기는 (y의 증가량)/(x의 증가량) = 1입니다.
y=x+b로 놓은 뒤 (1,0)을 대입하면0=1+b
b=-1
따라서 y=x-1모든 항을 왼쪽으로 이항하면-x+y+1=0양변에 -1을 곱하면
x-y-1=0
예)
기울기가 3이고 점 (5,4)를 지나는 직선의 방정식은
y=3x+b로 놓고 (5,4)를 대입하면
4=15+b
y=3x-11
모든 항을 왼쪽으로 이항하면
-3x+y+11=0
양변에 -1을 곱하면
3x-y-11=0
예)
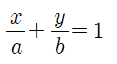
x절편이 4이고 y절편이 1인 직선의 방정식은
(4,0), (0,1)을 지나므로,
y절편이 1임을 이용하면
y=ax+1로 나타낼 수 있습니다.
여기에 (4,0)을 대입하면
4a+1=0

따라서

양변에 4를 곱하면
4y=-x+4
모든 항을 왼쪽으로 이항하면
x+4y-4=0
[참고] x절편이 a, y절편이 b인 직선의 방정식은 다음과 같이 나타낼 수 있습니다.

예)
x축과 양의 방향으로 45˚를 이루고 (3,2)를 지나는 직선의 방정식은
y=tan45˚(x-3)+2
y=(x-3)+2
y=x-1
모든 항을 왼쪽으로 옮기면-x+y+1=0
양변에 -1을 곱하면x-y-1=0
| 학습지 미리보기


| 첨부파일
| 닫는 말
직선의 방정식은 좌표평면에서 도형을 수식으로 나타내는 방법입니다.
여러 가지 직선을 해석하고 수식으로 표현해보며
직선에 친숙해져봅시다.
특히 양의 각이 주어져 있는 상황에서는 tan값을 이용해볼 수 있음을 떠올려봅시다.
✔ 저작물 관련 유의사항
- 본 저작물(문제 및 그림)은 학습지 제작소에 있으며, 비상업적, 상업적 이용이 가능합니다.
- 저작물을 사용 시 출처를 밝힌 후, 자유롭게 사용이 가능합니다.
- 학습지제작소의 저작물을 2차 배포하거나, 제 3자에게 제공하거나, 또는 출판하는 행위(ISBN이 포함된 서적으로 출판)는 엄격히 금지합니다.
Copyright. 2020. 학습지제작소. All Rights Reserved.
#태그 : 고등수학(상), 직선의 방정식 문제, 절편 직선의 방정식 공식, 두 점 직선 나타내기, 기울기 한 점 직선으로 나타내기, 학습지, 무료문제, 연습문제, 학습지제작소, 고1, 고등학교 1학년
'수학 학습지 > 공통수학1' 카테고리의 다른 글
| 점과 직선 사이의 거리 (개념+수학문제) (0) | 2020.08.29 |
|---|---|
| 두 직선의 평행조건, 수직조건 (고등수학 (상) 개념+수학문제) (0) | 2020.08.28 |
| 삼각형의 무게중심 의미, 좌표 구하기 (개념+수학문제) (0) | 2020.08.20 |
| 내분점과 외분점 (개념+공식+수학문제) (0) | 2020.08.19 |
| 좌표평면 위의 세 점에 대한 삼각형의 조건 (개념+수학문제) (0) | 2020.08.16 |