
| 같이 보면 좋은 글
| 수직선 위의 두 점 사이의 거리
수직선 위의 두 점 사이의 거리를 구해봅시다.

위 그림에서 초록색 점의 좌표는 -1, 주황색 점의 좌표는 4입니다.
두 점 사이의 거리는 좌표의 차와 서로 같습니다.
4-(-1)=5이므로,
두 점 사이의 거리는 5입니다.
[정리] 수직선 위의 두 점 A(a), B(b)에 대하여 점 A와 점 B 사이의 거리는
| a - b |
| 좌표평면 위의 두 점 사이의 거리
좌표평면 위의 두 점 사이의 거리는
직각삼각형을 만들어 구해보아야 합니다.

좌표평면 위의 두 점 A(-1,-1), B(3,1) 사이의 거리를 구해봅시다.
두 점 사이의 거리는 두 점을 잇는 선분의 길이와 서로 같으므로, 아래 그림과 같이 나타낼 수 있습니다.

이 때 선분 AB를 빗변으로 갖고 밑면이 x축과 평행한 직각삼각형을 그리면,

입니다.
밑변의 길이는 수직선에서 (-1)과 (3)사이의 거리와 서로 같으므로 4입니다.높이의 길이는 수직선에서 (1)과 (-1)사이의 거리와 서로 같으므로 2입니다.
빗변의 길이 d는 피타고라스 정리에 의해

입니다.
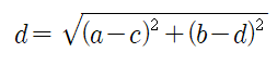
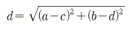
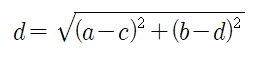
[정리] 좌표평면 위의 두 점 A(a,b), B(c,d)에 대하여 두 점 사이의 거리 d는

| 학습지 미리보기


| 첨부파일
| 닫는 말
이번 학습지는 수직선 위의 두 점 사이의 거리 구하기 10문제, 좌표평면 위의 두 점 사이의 거리 구하기 10문제로 구성했습니다. 좌표평면에서 거리 구하기는 특히 뒤에서 등장하는 여러 개념을 이해하는 데 기초가 되니, 문제를 풀어보며 연습해보시길 바랍니다.
✔ 저작물 관련 유의사항
- 본 저작물(문제 및 그림)은 학습지 제작소에 있으며, 비상업적, 상업적 이용이 가능합니다.
- 저작물을 사용 시 출처를 밝힌 후, 자유롭게 사용이 가능합니다.
- 학습지제작소의 저작물을 2차 배포하거나, 제 3자에게 제공하거나, 또는 출판하는 행위(ISBN이 포함된 서적으로 출판)는 엄격히 금지합니다.
Copyright. 2020. 학습지제작소. All Rights Reserved.
#태그 : 고등수학(상), 고1, 좌표평면, 두 점 사이의 거리 공식, 두 점 사이의 거리 구하기, 좌표평면 위의 두점 거리, 피타고라스의 정리, 연습문제, 다운, 다운로드, 학습지제작소
'수학 학습지 > 공통수학1' 카테고리의 다른 글
| 내분점과 외분점 (개념+공식+수학문제) (0) | 2020.08.19 |
|---|---|
| 좌표평면 위의 세 점에 대한 삼각형의 조건 (개념+수학문제) (0) | 2020.08.16 |
| 한 실근과 두 허근을 가지는 삼차방정식 (개념+수학문제) (0) | 2020.07.18 |
| 연립이차부등식의 풀이, 해 구하기 (개념+수학문제) (0) | 2020.07.15 |
| 연립이차방정식의 풀이 (개념+수학문제) (0) | 2020.06.29 |