
| 같이 보면 좋은 글
| 지수부등식이란?
지수부등식이란, 지수부분에 미지수가 있는 부등식입니다.

등이 지수부등식이 될 수 있습니다.
지수부등식은 다음과 같은 방법으로 풀 수 있습니다.
[방법 1] 지수법칙을 이용해 밑을 같게 한다.
[방법 2] 밑이 1보다 크면 부등호를 그대로 놓고 지수끼리 비교한다. 밑이 1보다 작으면 부등호의 방향을 바꾸고 지수끼리 비교한다.
[방법 3] 부등식의 성질을 이용하여 해를 구한다.
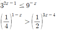
[예제 1]

를 풀어봅시다.

[예제 2]

를 풀어봅시다.

| 학습지 미리보기


| 첨부파일
| 닫는 말
지수부등식은 밑을 같게 하고, 밑이 1보다 큰지(혹은 작은지) 판단한 후, 지수끼리 부등식으로 나타내서 해를 구해야 합니다. 지수방정식과 이항하는 과정 등 비슷한 부분도 있지만, 등식의 성질과는 다른 부등식의 성질이 있기 때문에 숙지하면서 문제를 푸는 습관이 필요합니다.
✔ 저작물 관련 유의사항
- 본 저작물(문제 및 그림)은 학습지 제작소에 있으며, 비상업적, 상업적 이용이 가능합니다.
- 저작물을 사용 시 출처를 밝힌 후, 자유롭게 사용이 가능합니다.
- 학습지제작소의 저작물을 2차 배포하거나, 제 3자에게 제공하거나, 또는 출판하는 행위(ISBN이 포함된 서적으로 출판)는 엄격히 금지합니다.
Copyright. 2020. 학습지제작소. All Rights Reserved.
#태그 : 지수부등식, 지수, 부등식, 풀이, 연습문제, 수1, 수I, 수학I, 고2, 고등학교 지수함수, 지수부등식 연습문제, 수학문제, 다운, 다운로드, 무료, 학습지제작소
'수학 학습지 > 수학I' 카테고리의 다른 글
| [수학I] 11. 로그방정식, 로그 미지수 값 구하는 법 (개념+수학문제) (0) | 2020.07.29 |
|---|---|
| [수학I] 10. 로그함수의 그래프, 정의역, 점근선, 평행이동, 대칭이동 (개념+수학문제) (0) | 2020.07.17 |
| [보충] 지수함수와 로그함수 > 지수방정식 수학문제 50문항 (0) | 2020.04.11 |
| [수학I] 8. 지수방정식의 의미, 해, 풀이 (개념+수학문제) (0) | 2020.04.05 |
| [수학I] 7. 지수함수의 뜻, 최대최소 (개념 + 수학문제) (0) | 2020.03.28 |