
| 같이 보면 좋은 글
| 로그방정식
(1) 로그방정식의 뜻 + 풀이
로그방정식이란, 진수가 x에 관한 식으로 이루어진 방정식을 의미합니다.
방정식이기 때문에 등식이 참이 되게 하는 해를 갖습니다.

로그방정식은 좌항과 우항의 밑을 같게 한 뒤, 진수가 같음을 이용해 해를 구합니다.
2를 밑이 2인 로그로 고치면,

이므로,

입니다.
밑을 같게 놓았으면, 진수를 등식으로 나타냅니다.

등식의 성질을 이용하면,

입니다.

의 진수의 조건은 x+1>0이므로, 해는 조건을 만족합니다.
[정리] 로그방정식을 푸는 법은 다음과 같습니다.
1. 좌항과 우항을 밑이 서로 같은 로그로 나타낸다.
2. 진수를 등식으로 나타낸다.
3. 진수에 대한 방정식을 푼다.
4. 미지수가 진수의 조건에 맞는지 확인한다.
(2) 진수가 이차식인 로그방정식의 풀이

을 풀어봅시다.
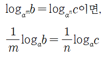
로그의 성질 중, 다음과 같은 성질이 있습니다. (밑변환)


를 만족하므로,

입니다.
양변에 -2를 곱하면,

로그의 성질 중,

을 이용하면,

입니다.
마지막으로 구한 해가 진수의 조건을 만족하는지 확인해봅시다.
[참고] 진수의 조건 : 0보다 크다.

| 학습지 미리보기


| 첨부파일
| 닫는 말
로그방정식은 진수를 방정식으로 놓고 풀되, 마지막에 진수의 조건을 만족하는지 반드시 확인해야 합니다. 문제를 풀어보며 로그방정식의 여러 유형을 학습해보시길 바랍니다.
✔ 저작물 관련 유의사항
- 본 저작물(문제 및 그림)은 학습지 제작소에 있으며, 비상업적, 상업적 이용이 가능합니다.
- 저작물을 사용 시 출처를 밝힌 후, 자유롭게 사용이 가능합니다.
- 학습지제작소의 저작물을 2차 배포하거나, 제 3자에게 제공하거나, 또는 출판하는 행위(ISBN이 포함된 서적으로 출판)는 엄격히 금지합니다.
Copyright. 2020. 학습지제작소. All Rights Reserved.
#태그 : 로그방정식, 로그, 지수함수와 로그함수, 고2, 수학I, 수학1, 학습지제작소
'수학 학습지 > 수학I' 카테고리의 다른 글
| [수학I] 13. 호도법과 육십분법, 라디안 연산연습 (개념+수학문제) (0) | 2020.08.05 |
|---|---|
| [수학I] 12. 시초선, 동경, 일반각 뜻 (개념+수학문제) (0) | 2020.08.02 |
| [수학I] 10. 로그함수의 그래프, 정의역, 점근선, 평행이동, 대칭이동 (개념+수학문제) (0) | 2020.07.17 |
| [수학I] 9. 지수부등식의 의미, 해, 풀이 (개념+수학문제) (0) | 2020.07.16 |
| [보충] 지수함수와 로그함수 > 지수방정식 수학문제 50문항 (0) | 2020.04.11 |