
안녕하세요, 학습지제작소입니다.
오늘은 고등학교 2학년 수학
수학I 포스팅을 해보려고하는데요,
지난 시간에는 지수함수의 최대최소를 구해보았습니다.
이번 포스팅에서는 지수에 문자가 들어간 지수방정식을 살펴보려고 합니다.
| 지수에 미지수가 있는 방정식
지금까지 우리는 일차방정식, 연립방정식(이원일차방정식), 이차방정식을 풀어보았습니다.
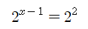
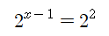
이번 방정식은 지수에 미지수가 있는 방정식으로,
밑을 같게 한 뒤, 지수가 서로 같음을 이용해야 합니다.

이 방정식을 풀기 위해서는, 밑이 2가 되도록 맞추어줄 필요가 있습니다.

이때 지수는 x-1과 2로 서로 같습니다.

따라서 x는 3입니다.

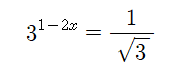
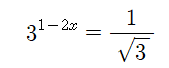
이 지수방정식은 어떻게 풀 수 있을까요?
루트 3이 밑이 3이고 지수가 1/2인 수로 나타낼 수 있음을 생각한다면,
그리고 역수는 지수가 음수임을 떠올린다면,

와 같이 나타낼 수 있습니다.
밑이 서로 같아졌으므로,

입니다.
정리하자면, 지수방정식을 푸는 방법은 다음과 같습니다.
i) 지수에만 미지수가 있는 경우
밑을 서로 같게 한 뒤, 지수를 등식으로 만들어 해를 구한다.
ii) 밑과 지수에 미지수가 있는 경우
(1) 좌우항의 밑이 1이 되도록 해를 구한다.
(2) 좌우항의 지수가 0이 되도록 해를 구한다.


이번 학습지는 지수방정식으로, 밑을 똑같이 맞춘 뒤 지수를 등식으로 만들어 해를 구하는 문제들로 구성했습니다.
첨부파일은 아래에 있습니다.
오늘도 즐거운 하루 보내시길 바랍니다.
감사합니다.
#태그 : 수학I, 학습지제작소, 지수, 로그, 지수방정식, 지수방정식 문제, 수학I 지수 문제, 수학I 지수방정식 문제, pdf, 다운, 다운로드
'수학 학습지 > 수학I' 카테고리의 다른 글
| [수학I] 9. 지수부등식의 의미, 해, 풀이 (개념+수학문제) (0) | 2020.07.16 |
|---|---|
| [보충] 지수함수와 로그함수 > 지수방정식 수학문제 50문항 (0) | 2020.04.11 |
| [수학I] 7. 지수함수의 뜻, 최대최소 (개념 + 수학문제) (0) | 2020.03.28 |
| [수학I] 6. 상용로그로 자릿수 구하기 (개념 + 수학문제) (0) | 2020.03.11 |
| [수학I] 5. 상용로그의 성질, 밑변환, 값 구하기 (개념+수학문제) (1) | 2020.03.07 |