
[2021-05-10 추가] 답안지에 오류가 있어 수정하였습니다.
안녕하세요, 학습지제작소입니다.
이번에는 2020년도 중학교 1학년 두 번째 학습지를 포스팅해보려고 합니다.
이번 주제는 일차방정식인데요,
가장 어려워하면서 중요한 부분이라 조그나마 빠르게 포스팅하게 되었습니다.
일차방정식에 대해 포스팅한 후, 다시 문자와 식 앞으로 돌아가 연재하도록 하겠습니다.
* 일차방정식이란?
(1) 방정식
방정식은 등식의 일종으로, 변수의 값에 따라 참이 될 수도, 거짓이 될 수도 있는 등식을 의미합니다.
항등식은 변수의 값에 상관없이 항상 성립하지만, 방정식은 변수에 따라 참/거짓이 달라지는 등식이죠.

이 등식에 대하여 변수 x에 x=-2, x=-1, x=0, x=1 어떤 값을 넣더라도 등식은 성립합니다.
따라서 위 식은 항등식입니다.

이 등식에 대하여 x=2일 때에는 (2+1)=(2x2-1)로 등식이 성립하지만, 그 외의 값을 대입할 때에는 등식이 성립하지 않습니다. 따라서 위 식은 방정식입니다.
(2) 일차방정식
일차방정식은 우항을 0으로 만들었을 때, 좌항의 최고차항이 1인 방정식입니다. (일차식)=0꼴로 정리되는 방정식을 의미합니다.

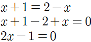
위 과정을 거치면 방정식 x+1=2-x을 이항하면 최고차항이 1인 방정식입니다. 따라서 일차방정식입니다.

위 과정을 거치면 등식 2x-1=2x+1을 이항하면 변수 x가 사라집니다. 따라서 일차방정식이 아닙니다.

위 방정식은 최고차항이 2이므로 일차방정식이 아닙니다.
(3) 일차방정식의 풀이
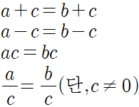
일차방정식은 좌항이 x가 되도록 등식을 변형해 풀어야 합니다. 일차방정식 단원 전에 배우는 등식의 성질은 다음과 같습니다. a=b가 성립한다면,

위 4가지 등식의 성질이 성립합니다. 첫 번째와 두 번째 등식처럼 어떤 값을 더하거나 뺌으로써 항을 옮기는 작업을 이항이라고 합니다. 일차방정식을 풀기 위해서는 좌항의 상수항과, 우항의 일차식을 이항해야합니다.
예) 방정식

에서는 좌항의 -2와 우항의 x를 이항해야합니다.
이항을 할 때에는 부호가 바뀌므로,

이 성립합니다. 그 다음 양변을 2로 나누면

을 얻을 수 있습니다.
이번 학습지에서는 정수가 계수나 상수항인 일차방정식을 다룹니다. 괄호가 없는 방정식과 괄호가 있는 방정식 모두 만나보실 수 있으며, 매일 10문항씩 담았습니다.

학습지 첨부파일은 아래에 있습니다.
오늘도 평안한 하루 보내시길 바랍니다.
감사합니다.
※ 저작물 관련 유의사항
- 본 저작물(문제 및 그림)은 학습지 제작소에 있으며, 비상업적, 상업적 이용이 가능합니다.
- 저작물을 사용 시 출처를 밝힌 후, 자유롭게 사용이 가능합니다.
Copyright. 2020. 학습지제작소. All Rights Reserved.
#태그 : 중학교 1학년, 중1, 중1 수학, 일차방정식, 일차방정식 문제, 방정식 의미, 일차방정식 의미, 방정식 뜻, 항등식, 일차방정식 연습문제, 학습지제작소, 다운, 다운로드, 무료
'수학 학습지 > 중학교 1학년 1학기' 카테고리의 다른 글
| 문자로 곱셈식과 나눗셈식 간단히 나타내기 (개념+수학문제) (3) | 2020.03.04 |
|---|---|
| [중1] 중괄호가 있는 일차방정식 (개념+수학문제) (3) | 2020.02.25 |
| 절댓값이 포함된 유리수의 사칙연산 100문제 (2) | 2020.02.02 |
| 정수와 유리수 > 정수의 사칙연산 (0) | 2020.01.29 |
| [보충] 정수의 덧셈과 뺄셈 (2), (3) : 25문제 (1) | 2020.01.29 |