
안녕하세요, 학습지제작소입니다.
이번 포스팅은 중학교 1학년 1학기 문자와 식 단원의 첫 번째 내용
곱셈과 나눗셈 기호를 생략하여 간단히 나타내기입니다.
| 곱셈기호의 생략
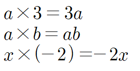
(1) 수와 문자의 곱셈, 문자와 문자의 곱셈

수와 문자의 곱셈에서는 숫자를 앞에, 문자를 뒤에 표현합니다. 그리고 수와 문자, 문자와 문자 사이의 곱셈 기호는 생략합니다. 예를 들어 a와 3의 곱은 숫자 3이 앞으로, 문자 a가 뒤로 가 3a로 표기합니다.
거꾸로 ab는 문자 a,b의 곱이죠.
(2) 1과 문자의 곱셈, -1과 문자의 곱셈
1과 문자의 곱셈에서는 1을 생략합니다. 문자 하나가 있을 때에는 그 문자가 하나 있다는 의미이므로, 1이 이미 곱해져 있기 때문입니다.

따라서 1과 문자의 곱셈은 문자만 남습니다. 곱셈은 교환법칙이 성립하므로 곱해지는 순서가 바뀌더라도 문자만 남죠.
-1과 문자의 곱셈은 음수 기호와 문자를 모아 표현합니다.
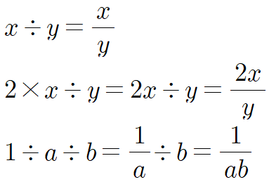
| 나눗셈기호의 생략

위 식들과 같이 나누는 수 (나눗셈 기호 뒤에 있는 식)가 분모가 되고, 나눗셈 기호 앞에 있는 식이 분자가 됩니다.

곱셈기호의 생략은 추후에 식을 정리하거나, 식의 값을 찾을 때 필수적인 활동인데요, 이번 연습문제를 통해 연습해보시길 바랍니다.
(2020.06.23 수정)
답에 오류가 있어 수정하였습니다.
학습지 첨부파일은 아래에 있습니다.
오늘도 좋은 하루 보내세요!
#태그 : 중학교 1학년 수학, 문자와 식, 문자와 식 문제, 연산 문제, 중학교 1학년 수학 문제, 중1 연산 문제, 문자와 식 연산, 학습지, 문자와 식 학습지, 다운, 다운로드, 학습지제작소, 무료
'수학 학습지 > 중학교 1학년 1학기' 카테고리의 다른 글
| 둘 이상의 문자가 들어간 식의 값 구하기 (개념+수학문제) (0) | 2020.03.09 |
|---|---|
| 문자와 식 : 식의 값 구하기 (개념+수학문제) (0) | 2020.03.08 |
| [중1] 중괄호가 있는 일차방정식 (개념+수학문제) (3) | 2020.02.25 |
| 일차방정식의 뜻과 풀이 (개념+수학문제) (3) | 2020.02.24 |
| 절댓값이 포함된 유리수의 사칙연산 100문제 (2) | 2020.02.02 |