
안녕하세요, 학습지제작소입니다.
오늘은 중학교 1학년 문자와 식 세 번째 시간인데요,
식의 값 구하기를 포스팅해보려고 합니다. 지난 시간의 4. 문자로 간단히 나타내기와 깊은 관련이 있기 때문에, 지난 글을 읽지 못했다면, 이전 포스팅을 읽고 오시길 추천드립니다.
| 식의 값을 구하는 방법
식의 값을 구하는 방법은 아래와 같습니다.
1. 식을 곱셈과 나눗셈으로 표현한다.
2. 계산 순서가 명확할 경우, 괄호를 사용한다.
1번 사항에서 보실 수 있듯이 식에서 생략된 부분이 무엇이었는지 생각하는 과정이 중요한데요,
한 번 연습해봅시다.
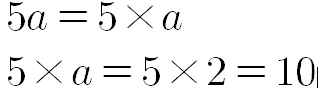
예)

준식은 5와 a를 곱한 후, 3을 더한 식으로, 아래와 같이 표현할 수 있습니다.

위 두 가지 사항을 지키면 식의 값을 구할 수 있는데요, 몇 가지 예제를 풀어봅시다.
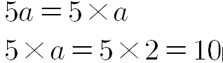
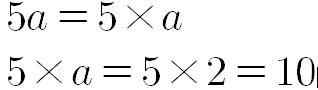
<예제 1>

위 문제는 a가 2일 때 5a의 값을 구하는 문제입니다.
5a를 곱셈으로 풀어보면,

이 되어 식의 값을 구할 수 있습니다.
답 : 10
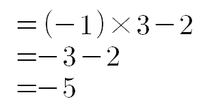
<예제 2>

준식을 곱셈으로 표현하면,

입니다.
이를 곱셈으로 표현하면,

이 되어 -5라는 값을 얻을 수 있습니다.
답: -5
두 예제에서 확인할 수 있듯이, 어떤 문자의 값이 주어진다면, 그 문자가 들어 있는 식의 값을 구할 수 있습니다.


이번 학습지는 한 문자의 값을 주고, 그 문자가 들어간 식의 값을 구하도록 묻고 있습니다.
문자에 알맞은 값을 대입해보면서 식의 값을 구하는 연습을 해보시면 도움이 될 것입니다.
학습지 첨부파일은 아래에 있습니다.
문제가 더 필요하시거나, 신청하시고 싶다면 프리미엄 학습지를 활용하시길 바랍니다.
오늘도 평안한 하루 보내세요!
#태그 : 식의 값 구하기, 문자와 식, 중학교 1학년 수학, 중1 수학, 대입, 문자와 식 문제, 식의 값, 식의 계산
'수학 학습지 > 중학교 1학년 1학기' 카테고리의 다른 글
| 일차식의 계산 (개념+연산문제) (2) | 2020.03.16 |
|---|---|
| 둘 이상의 문자가 들어간 식의 값 구하기 (개념+수학문제) (0) | 2020.03.09 |
| 문자로 곱셈식과 나눗셈식 간단히 나타내기 (개념+수학문제) (3) | 2020.03.04 |
| [중1] 중괄호가 있는 일차방정식 (개념+수학문제) (3) | 2020.02.25 |
| 일차방정식의 뜻과 풀이 (개념+수학문제) (3) | 2020.02.24 |