

안녕하세요, 학습지제작소입니다.
오늘은 중학교 1학년 수학을 어제와 연속으로 포스팅하려고 합니다.
연이어 연재하는 까닭은 5번 학습지와 6번 학습지의 맥락이 서로 같기 때문인데요,
5번 학습지에서는 한 문자에 대한 식의 값을 구했다면,
오늘 6번 학습지에서는 두 문자에 대한 식의 값을 구합니다.
| 두 문자가 들어간 식의 값 구하기
이번 유형은 a,b 또는 x,y 두 문자에 대한 값을 준 뒤, 두 문자가 들어간 식의 값을 구하는 문제들입니다.
한 번 예제를 풀어봅시다.
<예제>

x가 1이고, y가 -2라면, 아래 세 식은 어떻게 구할 수 있을까요?
(1)번 문항부터 풀어봅시다.
(1)번의 준식은 x+2y로, 곱셈으로 나타내면,

답 : -3
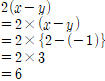
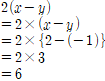
(2)번의 준식은 2(x-y)로, 곱셈으로 나타내면,

답: 6
(3)번의 준식은 y/x로, 나눗셈을 풀면,

답 : -2
입니다. 이처럼, 한 문자 말고도 둘 이상의 문자를 사용해 식을 세울 수 있고, 값 또한 구할 수 있습니다.
| 두 문자가 들어간 식 사례
그렇다면 두 문자가 들어간 식의 사례로는 무엇이 있을까요? 다음과 같이 여러 사례를 문자를 사용하여 나타낼 수 있습니다.
(1) 가로의 길이가 a, 세로의 길이가 b인 직사각형에 대하여 직사각형의 둘레는

(2) 가로의 길이가 a, 세로의 길이가 b인 직사각형에 대하여 직사각형의 넓이는

(3) 하나에 1000원인 초콜릿 x개와 하나에 500원인 젤리 y개를 구매했을 때, 가격은

(4) x원인 물건을 y%만큼 할인했을 때, 가격은

(5) xg의 물에 yg의 소금을 넣었을 때, 소금물의 농도는

등 문자를 사용하면 특정한 값을 모르더라도 식으로 간단히 나타낼 수 있습니다.

이번 학습지는 두 문자에 대하여 합, 차, 곱, 분수 등 비교적 간단한 식의 값을 계산하는 학습지로 준비했습니다.
첨부파일은 다음과 같습니다.
오늘도 여러분들의 수학 공부에 도움이 되고자 노력하겠습니다.
감사합니다.
#태그 : 문자와 식, 식의 값, 문자와 식 문제, 문자로 나타내기, 중학교 1학년 수학, 중학교 1학년 수학 문제, 중1 수학 문제
'수학 학습지 > 중학교 1학년 1학기' 카테고리의 다른 글
| 치환된 식을 일차식으로 정리하기 (개념 + 연산문제) (0) | 2020.03.23 |
|---|---|
| 일차식의 계산 (개념+연산문제) (2) | 2020.03.16 |
| 문자와 식 : 식의 값 구하기 (개념+수학문제) (0) | 2020.03.08 |
| 문자로 곱셈식과 나눗셈식 간단히 나타내기 (개념+수학문제) (3) | 2020.03.04 |
| [중1] 중괄호가 있는 일차방정식 (개념+수학문제) (3) | 2020.02.25 |