
[2021-04-08 추가] 답안지의 일부에 오류가 있어 수정하였습니다.
안녕하세요, 학습지제작소입니다.
지난 포스팅까지 해서 유리수와 순환소수를 마쳤는데요, 한 단원을 끝냈다는 점에서 기분이 좋네요.
오늘은 중학교 2학년 식의 계산 단원을 처음으로 공부하는 날입니다.
식의 계산에서는 지수법칙과 단항식/다항식의 계산을 배우게 되는데요,
이번 포스팅은 지수법칙에 관해 알아보겠습니다.
| 거듭제곱
지수법칙을 공부하기 전에 거듭제곱을 복습해봅시다.
거듭제곱이란, 같은 수를 여러 번 곱했을 때 간추려 표현하는 방법입니다.

이 때 곱해지는 수를 밑, 곱해진 횟수를 지수라고 부릅니다.
위 식에서 밑은 2, 지수는 5입니다.
| 지수법칙 : 지수의 합, 차, 곱
지수법칙은 거듭제곱중 지수에 관한 법칙으로, 지수의 합과 차, 곱을 식으로 나타낸 것입니다.
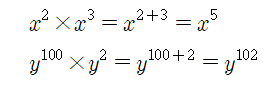
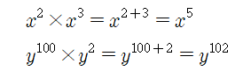
1) 지수의 합
지수 m,n이 자연수일 때, 다음 식이 성립합니다.

[ex]

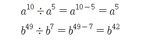
2) 지수의 차
지수 m,n이 자연수일 때, 다음 식이 성립합니다.

[ex]

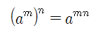
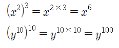
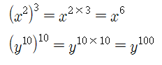
3) 지수의 곱
지수 m,n이 자연수일 때, 다음 식이 성립합니다.

[ex]

| 지수가 0보다 작거나 같을 때
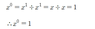
만약 지수가 0이하의 정수라면 어떻게 표현해야 할까요?
지수가 0이라면, 다음과 같은 과정을 생각해볼 수 있습니다.

따라서 지수가 0이라면 그 값은 밑에 관계없이 1입니다.
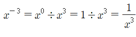
지수가 음수라면, 다음과 같은 과정을 생각해볼 수 있겠죠?

따라서 지수가 0보다 작아진다면, 지수의 차를 지수로 갖는 수의 역수임을 알 수 있습니다.


이번 학습지는 지수법칙을 여러 상황 속에서 적용해볼 수 있도록 구성했습니다. 10문제씩 5day 분량을 준비했으니, 지수법칙을 공부하는데 도움이 되길 바랍니다. 지수법칙 문제가 더 필요하신 경우, 프리미엄 연산문제로 신청해주시면 만들어보도록 하겠습니다.
첨부파일은 아래에 있습니다.
오늘도 여러분들의 수학공부를 위해 최선을 다하는
학습지제작소가 되겠습니다.
감사합니다.
※ 저작물 관련 유의사항
- 본 저작물(문제 및 그림)은 학습지 제작소에 있으며, 비상업적, 상업적 이용이 가능합니다.
- 저작물을 사용 시 출처를 밝힌 후, 자유롭게 사용이 가능합니다.
Copyright. 2020. 학습지제작소. All Rights Reserved.
#태그 : 지수법칙, 식의 계산, 중학교 2학년 수학, 중2 수학 지수, 중2 수학 지수 문제, 지수법칙 연산 문제, 지수법칙 문제, 연산 문제 다운, 중2 연산 문제, 식의 계산 학습지, pdf, 다운, 다운로드, 무료, 학습지제작소
'수학 학습지 > 중학교 2학년 1학기' 카테고리의 다른 글
| [중2-1/프리미엄] 분수를 순환소수로, 순환소수를 분수로 나타내기 (1) : 100문제 (OTF-01) (1) | 2020.03.29 |
|---|---|
| [중2-1] 8. 식의 계산 > 단항식의 곱셈 (개념+수학문제) (0) | 2020.03.27 |
| [중2-1] 6. 유리수와 순환소수 > 순환소수를 분수로 나타내는 법 (개념+수학문제) (0) | 2020.03.02 |
| [중2-1] 5. 유리수와 순환소수 > 순환소수로 나타내기 (2) (개념+수학문제) (0) | 2020.02.28 |
| [중2-1] 4. 유리수와 순환소수 > 순환소수로 나타내기 (개념+수학문제) (0) | 2020.02.21 |