
[2021-04-09 수정] 문제지에 수식이 잘못 입력된 부분을 수정하였습니다.
[2022-02-09 수정] 답지의 일부를 수정하였습니다.
안녕하세요, 학습지제작소입니다.
오늘은 중학교 2학년 수학 포스팅을 하는 날입니다.
중2 연산 문제는 초등보다 만들기 까다로워서 오후에야 업로드하네요. ㅠㅠ
그래도 열심히 만들었으니 소중하게 사용해주시길 바라요.
오늘의 주제는 식의 계산 부분의 두 번째로, 단항식의 곱셈입니다.
단항식이 무엇인지, 단항식끼리 곱셈은 어떻게 하는건지 예제를 통해 공부해보도록 합시다.
| 단항식이란?
단항식이란, 덧셈 기호를 기준으로 나누었을 때 항의 개수가 1개인 식을 의미합니다.
즉, 숫자나 문자의 곱으로 이루어진 식들이죠.
1) 문자
x,y와 같이 홀로 문자가 있는 경우는 단항식입니다.
2) 문자와 숫자가 곱해져 있는경우
5x, 2y와 같이 숫자와 문자가 곱해져 있는 경우도 단항식입니다.
3) 상수항
1, 1/2, 10등 숫자만으로 이루어진 식을 상수항이라 하며, 이 또한 단항식입니다.
| 단항식의 곱셈
단항식의 곱셈은 숫자끼리, 문자끼리 곱하여 계산합니다.
숫자끼리는 곱하고, 문자끼리는 지수끼리 더합니다.
예제를 함께 풀어볼까요?
<예제 1>

학습지 1day의 9번을 풀어봅시다. 이 식은 단항식 4ab와 a^2 b가 곱해진 꼴입니다.
이를 계산하기 위하서는 숫자끼리 곱하고, 문자끼리 곱해야합니다.

숫자끼리 곱하면 계수는 4이고,
a의 지수는 3, b의 지수는 2가 됩니다.

답:
이와 같이 계수는 계수끼리, 문자는 문자끼리 곱해주면 단항식의 곱을 구할 수 있습니다.
그런데 중학수학에서는 단항식의 거듭제곱꼴이 있는 식도 있습니다.
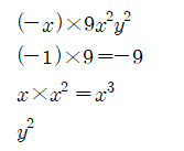
<예제 2>

위 식을 계산하기 위해서는 거듭제곱을 풀어야합니다.

거듭제곱을 푼 후, 계수와 지수를 계산하면,

따라서

입니다.

답:


이번 학습지는 여러가지 단항식을 곱할 수 있는 연습문제들로 구성했습니다. 그리고 거듭제곱이 있는 식과 없는 식을 모두 풀 수 있게 구성하여 다양성을 높였습니다.
학습지 첨부파일은 아래에 있습니다.
식의 계산은 연습할수록 정돈하는 시간을 단축할 수 있습니다. 앞으로 우리가 만날 여러 식과 함수는 단항식의 곱셈 연습 없이는 쉽게 정리할 수 없습니다. 이번 학습지는 여러분들의 수학 공부에 좋은 비료가 될 것입니다. ^^
다음주에는 더 좋은 자료로 찾아뵙겠습니다.
여러분의 수학 공부를 응원합니다!
감사합니다 :)
※ 저작물 관련 유의사항
- 본 저작물(문제 및 그림)은 학습지 제작소에 있으며, 비상업적, 상업적 이용이 가능합니다.
- 저작물을 사용 시 출처를 밝힌 후, 자유롭게 사용이 가능합니다.
Copyright. 2020. 학습지제작소. All Rights Reserved.
#태그 : 학습지제작소, 식의 계산 학습지, 식의 계산 문제, 단항식 계산, 단항식 곱셈 문제, 단항식 사칙계산, 단항식 사칙연산, 단항식 곱셈 학습지, 단항식 곱셈 pdf, 다운로드, 무료, 중2 수학 문제, 중2 식의 계산 문제
'수학 학습지 > 중학교 2학년 1학기' 카테고리의 다른 글
| [중2-1] 9. 식의 계산 > 단항식의 나눗셈 (개념+수학문제) (0) | 2020.04.03 |
|---|---|
| [중2-1/프리미엄] 분수를 순환소수로, 순환소수를 분수로 나타내기 (1) : 100문제 (OTF-01) (1) | 2020.03.29 |
| [중2] 7. 식의 계산 > 지수법칙 (개념+수학문제) (2) | 2020.03.14 |
| [중2-1] 6. 유리수와 순환소수 > 순환소수를 분수로 나타내는 법 (개념+수학문제) (0) | 2020.03.02 |
| [중2-1] 5. 유리수와 순환소수 > 순환소수로 나타내기 (2) (개념+수학문제) (0) | 2020.02.28 |