<Lite(개념+수학문제) 학습지 문항 수 감소 건에 대한 안내>
2020년 4월부터 Lite 학습지의 문항 수가 50문항에서 20문항으로 감소합니다.
라이트와 프리미엄 학습지에 대한 안내는 아래 공지를 확인하시길 바랍니다.
>>4월 학습지제작소 운영정책 변경 안내

안녕하세요, 학습지제작소입니다.
오늘은 중학교 2학년 수학을 포스팅하려고 합니다.
지난주는 단항식의 곱셈을 공부했다면,
이번주는 단항식의 나눗셈을 풀어보려고 합니다.
| 단항식의 나눗셈 풀이
단항식의 나눗셈은 곱셈과 비슷하게, 다음과 같은 방법으로 계산합니다.
i) 계수를 나누어 몫을 분수로 표현합니다.
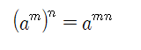
ii) 문자는 약분하여 지수법칙에 따라 지수의 차만큼 나타냅니다.



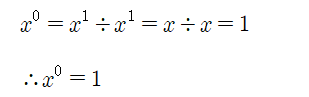
지수가 0인 경우, 약분하여 1로 나타내도록 합니다.

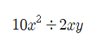
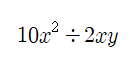
예제를 풀어봅시다.

이 식을 정리하려면, 계수와 문자를 간단히 나타낼 필요가 있습니다.

각각을 나눈다면,

입니다.
이와 같이 계수와 문자를 정리하면, 단항식의 나눗셈을 해결할 수 있습니다.

이 식을 정리하면,

입니다.

따라서 답은 - xy/3입니다.


오늘의 학습지는 단항식을 주고, 단항식을 나누어 몫을 표현하는 문제들로 구성했습니다.
총 20문항으로 구성했으니, 문제를 풀어보며 연습해보시길 바랍니다.
문제가 부족하거나 더 풀고 싶으시다면, 프리미엄 신청을 하시면 학습지를 공유해드리도록 하겠습니다.
오늘의 포스팅은 여기까지입니다.
다음주에는 더 좋은 학습지로 찾아뵙겠습니다!
감사합니다.
#태그 : 단항식, 식의 계산, 중2 수학, 중학교 2학년 수학, 단항식의 나눗셈, 나눗셈 방법, 단항식의 나눗셈 학습지, 식의 계산 학습지, 단항식의 나눗셈 문제
'수학 학습지 > 중학교 2학년 1학기' 카테고리의 다른 글
| [중2-1] 11. 식의 계산 > 다항식의 계산 (개념+수학문제) (0) | 2020.05.12 |
|---|---|
| [중2-1] 10. 식의 계산 > 단항식의 곱셈과 나눗셈의 혼합계산 (개념+수학문제) (2) | 2020.04.13 |
| [중2-1/프리미엄] 분수를 순환소수로, 순환소수를 분수로 나타내기 (1) : 100문제 (OTF-01) (1) | 2020.03.29 |
| [중2-1] 8. 식의 계산 > 단항식의 곱셈 (개념+수학문제) (0) | 2020.03.27 |
| [중2] 7. 식의 계산 > 지수법칙 (개념+수학문제) (2) | 2020.03.14 |