<Lite(개념+수학문제) 학습지 문항 수 감소 건에 대한 안내>
2020년 4월부터 Lite 학습지의 문항 수가 50문항에서 20문항으로 감소합니다.
라이트와 프리미엄 학습지에 대한 안내는 아래 공지를 확인하시길 바랍니다.
>>4월 학습지제작소 운영정책 변경 안내

안녕하세요, 학습지제작소입니다.
오늘은 중학교 2학년 수학을 포스팅해보려고 합니다.
중2 소식이 조금 뜸했죠? ㅠㅠ
중2 식의 계산 문제들을 만드는데 조금 복잡해서 시간이 걸렸습니다.
그래도 정갈한 연산문제를 만들 수 있어서 뿌듯하기도 합니다!
오늘의 주제는 바로 단항식의 곱셈과 나눗셈의 혼합계산인데요,
예제를 풀어보고 학습지를 다운로드받아 풀어보시길 바라요.
구독과 댓글은 제게 힘이 됩니다!
단항식의 곱셈, 나눗셈 포스트는 아래에서 찾아가실 수 있습니다.
[중2] 8. 식의 계산 > 단항식의 곱셈 (개념+수학문제)
안녕하세요, 학습지제작소입니다. 오늘은 중학교 2학년 수학 포스팅을 하는 날입니다. 중2 연산 문제는 초등보다 만들기 까다로워서 오후에야 업로드하네요. ㅠㅠ 그래도 열심히 만들었으니 소중하게 사용해주시..
calcproject.tistory.com
[중2] 9. 식의 계산 > 단항식의 나눗셈 (개념+수학문제)
<lite(개념+수학문제) 학습지="" 문항="" 수="" 감소="" 건에="" 대한="" 안내=""> 2020년 4월부터 Lite 학습지의 문항 수가 50문항에서 20문항으로 감소합니다. 라이트와 프리미엄 학습지에 대한 안내는 아래 공지를 확인하시길 바랍니..</lite(개념+수학문제)>
calcproject.tistory.com
| 단항식의 곱셈과 나눗셈의 혼합계산, 어떻게 풀까?
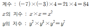
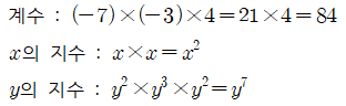
(1) A×B×C

세 다항식이 모두 곱해져 있는 경우, 계수를 각각 곱하고, 지수법칙에 의해 지수를 더합니다.

그 다음 각각을 모으면 답을 얻을 수 있습니다.

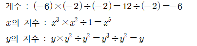
(2) A÷B×C


각각을 모으면,

(3) A×B÷C


각각을 모으면,

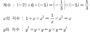
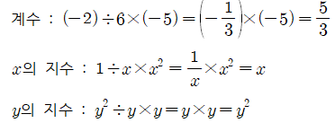
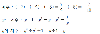
(4) A÷B÷C


나누는 식이 나누어지는 식보다 차수가 크다면, 분수로 나타내어주세요.
셋을 곱해 하나로 모으면,

입니다.


학습지 첨부파일은 아래에 있습니다.
오늘도 즐거운 하루 보내세요!
#태그 : 식의 계산, 단항식, 단항식의 곱셈, 단항식의 나눗셈, 단항식의 혼합계산, 단항식의 혼합계산 문제, 연습문제, 중학교 2학년 수학 문제, 중2 단항식 문제, 식의 계산 문제 다운로드, pdf
'수학 학습지 > 중학교 2학년 1학기' 카테고리의 다른 글
| [중2-1] 12. 식의 계산 > 이차식의 덧셈과 뺄셈 (개념+수학문제) (0) | 2020.05.18 |
|---|---|
| [중2-1] 11. 식의 계산 > 다항식의 계산 (개념+수학문제) (0) | 2020.05.12 |
| [중2-1] 9. 식의 계산 > 단항식의 나눗셈 (개념+수학문제) (0) | 2020.04.03 |
| [중2-1/프리미엄] 분수를 순환소수로, 순환소수를 분수로 나타내기 (1) : 100문제 (OTF-01) (1) | 2020.03.29 |
| [중2-1] 8. 식의 계산 > 단항식의 곱셈 (개념+수학문제) (0) | 2020.03.27 |