
안녕하세요, 학습지제작소입니다.
오늘은 지난 시간의 다항식의 계산에 이어
이차식의 덧셈과 뺄셈을 포스팅해보도록 하겠습니다.
| 이차식의 뜻
이차식이란, 계수가 0이 아닌 최고차항의 차수가 2인 식을 의미합니다.

| 이차식의 덧셈과 뺄셈 하는법
이차식의 덧셈과 뺄셈은 다음과 같은 방법으로 계산할 수 있습니다.
(1) 동류항을 찾는다.
(2) 같은 동류항인 식의 계수를 더한다.
(3) 내림차순으로 합을 적는다.
| 이차식의 덧셈

위 식은 어떻게 계산할 수 있을까요?
이 식에서 동류항끼리 묶으면 다음과 같이 생각해볼 수 있습니다.

동류항끼리 모아 더하면,

따라서

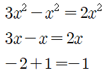
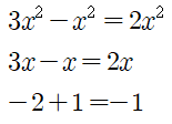
| 이차식의 뺄셈
이차식의 뺄셈은 음수 부호를 분배하여 계산할 수 있습니다.

위 식을 계산하기 위해서 음수 부호를 분배하면,

이 식에서 동류항끼리 묶어보면 다음과 같습니다.

동류항끼리 모아 더하면,

따라서

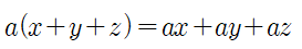
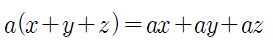
| 분배법칙이 필요한 이차식의 덧셈과 뺄셈
만약 이차식에 1, -1이 아닌 수가 곱해져 있으면 어떻게 계산할 수 있을까요?

을 계산해봅시다.
이차식에 1 또는 –1이 아닌 수가 곱해져 있다면 분배법칙을 이용해볼 수 있습니다.


에 분배법칙을 적용하면

이고,

에 분배법칙을 적용하면,

입니다.
정리한 두 식의 동류항을 찾으면,

동류항끼리 모아 더하면,

따라서

입니다.


이번 학습지는 a,x,y에 대한 이차식의 덧셈과 뺄셈으로 준비했습니다.
첨부파일은 아래에 있습니다.
오늘의 포스팅은 여기까지입니다.
감사합니다~ 😊
저작물 관련 유의사항
- 본 저작물(문제 및 그림)은 학습지 제작소에 있으며, 비상업적, 상업적 이용이 가능합니다.
- 저작물을 사용 시 출처를 밝힌 후, 자유롭게 사용이 가능합니다.
Copyright. 2020. 학습지제작소. All Rights Reserved.
#태그 : 수와 식, 식의 계산, 다항식의 덧셈과 뺄셈, 이차식, 이차식의 계산, 이차식의 덧셈과 뺄셈, 이차식 문제, 다운, 다운로드, 중2, 중2 수학 문제, 중2 이차식 연습문제, 학습지제작소
'수학 학습지 > 중학교 2학년 1학기' 카테고리의 다른 글
| [중2-1] 14. 일차부등식 > 일차부등식의 뜻, 풀이 (개념+수학문제) (1) | 2020.06.10 |
|---|---|
| [중2-1] 13. 일차부등식 > 부등식의 성질 (개념+수학문제) (2) | 2020.06.06 |
| [중2-1] 11. 식의 계산 > 다항식의 계산 (개념+수학문제) (0) | 2020.05.12 |
| [중2-1] 10. 식의 계산 > 단항식의 곱셈과 나눗셈의 혼합계산 (개념+수학문제) (2) | 2020.04.13 |
| [중2-1] 9. 식의 계산 > 단항식의 나눗셈 (개념+수학문제) (0) | 2020.04.03 |