
안녕하세요, 학습지제작소입니다.
지난 시간까지 해서 복소수의 의미, 켤레복소수, 복소수의 연산까지 공부해보았습니다.
오늘은 복소수를 활용해 이차방정식의 해를 구해봅시다.
| 이차방정식이란?
이차방정식이란, 등식의 모든 항을 좌항으로 옮겼을 때
(이차식)=0
꼴을 만족하는 방정식입니다.
예)

이차방정식의 근은 세 가지 경우로 나눌 수 있었습니다.
(1) 서로 다른 두 실근
(2) 하나의 실근
(3) 해가 없음
이 세 가지 경우로 나눌 수 있는 기준이 무엇이었나요?
바로 판별식이었습니다.
판별식이란, 이차방정식

을 이야기했었습니다. 판별식의 값에 따라 실근의 개수는 다음과 같이 말할 수 있었습니다.
|
판별식(D) |
해 |
서로 다른 실근의 개수 |
|
D>0 |
서로 다른 두 실근을 가진다. |
2 |
|
D=0 |
중근을 가진다. |
1 |
|
D<0 |
해가 없다. |
0 |
| 근의 공식과 판별식 사이의 관계
왜 0을 기준으로 실근의 개수가 변화할까요?
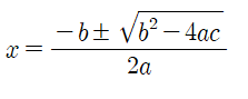
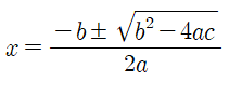
이것은 근의 공식에서 그 까닭을 살펴볼 수 있습니다.
이차방정식

에 대하여 근 x는 다음과 같이 나타낼 수 있습니다.

이때

이므로 다음과 같이 고칠 수 있습니다.

(1) D>0인 경우
판별식 D의 값이 0보다 크다면 제곱근 D의 값이 0보다 커져 수직선 위에 서로 다른 x의 값을 나타낼 수 있습니다.
따라서 서로 다른 실근의 개수는 2입니다.
(2) D=0인 경우
판별식 D의 값이 0이라면 제곱근 D의 값은 0이 되어 수직선 위의 x값은 서로 겹칩니다.
따라서 서로 다른 실근의 개수는 1이며,
이를 실중근이라고 부릅니다.
(3) D<0인 경우
판별식 D의 값이 0보다 작다면 제곱근 D는 실수가 아니므로 실수를 나타내는 수직선 위에 나타낼 수 없습니다.
따라서 서로 다른 실근의 개수는 0입니다.
| 판별식이 0보다 작은 경우 : 허근으로 나타내기
판별식 D이 0보다 작더라도, 근을 나타낼 수 없는 것은 아닙니다.
우리는 제곱이 -1인 수를 허수단위로 불렀습니다.
허수단위를 이용하면 제곱근 {음수}꼴을 허수로 나타낼 수 있습니다.
예를 들어,

허수단위 i가 들어간 이차방정식의 근을 허근이라고 부릅니다.
서로 다른 두 허근을 갖는 이차방정식을 풀어봅시다.

위 이차방정식의 근은

서로 다른 두 허근입니다.


이번 학습지는 이차방정식을 주고 근의 공식을 활용해 실근 또는 허근을 구하는 문제들로 구성했습니다.
학습지 첨부파일은 다음과 같습니다.
오늘의 포스팅은 여기까지입니다.
여러분의 수학공부를 응원합니다.
감사합니다!
저작물 관련 유의사항
- 본 저작물(문제 및 그림)은 학습지 제작소에 있으며, 비상업적, 상업적 이용이 가능합니다.
- 저작물을 사용 시 출처를 밝힌 후, 자유롭게 사용이 가능합니다.
Copyright. 2020. 학습지제작소. All Rights Reserved.
#태그 : 고등수학(상), 고1, 복소수와 이차방정식, 근의 공식, 이차방정식 푸는 법, 이차방정식 복소수, 이차방정식 판별식, 이차방정식 문제, 이차방정식 연습문제, 이차방정식 문제 다운로드, 무료, pdf, 이차방정식 학습지
'수학 학습지 > 공통수학1' 카테고리의 다른 글
| 세 실근을 가지는 삼차방정식 (개념+수학문제) (0) | 2020.06.20 |
|---|---|
| 근과 계수의 관계 (고등수학 (상)개념+수학문제) (0) | 2020.06.02 |
| 복소수의 나눗셈, 분수로 주어진 복소수의 계산 (개념+수학문제) (0) | 2020.05.17 |
| 복소수의 덧셈, 뺄셈, 곱셈 (개념 + 수학문제) (0) | 2020.05.03 |
| 켤레복소수 구하기 (개념+수학문제) (0) | 2020.04.12 |