
| 관련 개념
| 근과 계수의 관계
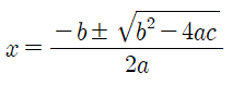
이차방정식은 근의 공식을 이용해 근을 구할 수 있었습니다.

하지만 근의 공식은 식을 대입하기 복잡한 편입니다.
반면 근의 합과 곱은 상대적으로 간단합니다.
이차방정식을 인수분해하여 두 근의 합과 곱을 유도해봅시다.

정리하자면, 이차방정식의 두 근

에 대하여

가 성립합니다.
예제 1.

[풀이]
예제 2.

[풀이]
| 복잡한 근과 계수의 관계식 구하기
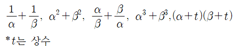
하지만 단순히 두 근의 합이나 곱을 구하는 문제만 있지 않습니다.
조금 더 복잡한 식을 풀어볼 필요가 있는데요,
다음과 같은 식들이 있습니다.

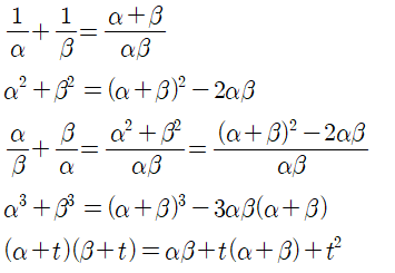
순서대로 두 근의 합과 곱으로 표현하면 다음과 같이 풀 수 있습니다.

위 공식을 써보면서 머릿속에 담고 있어야 근과 계수의 관계를 유도리있게 풀 수 있습니다.
예제 1.

[풀이]

두 근의 합과 곱을 계수를 이용해서 구한 뒤,
세 제곱의 합을 공식을 이용해 변환한 뒤,
두 근의 합과 곱에 해당하는 값을 대입해 계산합니다.
| 학습지 미리보기


| 첨부파일
근과 계수의 관계는 근을 직접 구하지 않고도
근으로 이루어진 식의 값을 구할 수 있는 매력적인 단원이라고 생각합니다.
그렇기 때문에 이해하는 과정이 어려울 수 있습니다.
문제를 풀어보면서 근과 계수의 관계를 어떻게 사용할지 고민해보세요.
강좌에서 알려드렸던 여러 가지 공식을 변형하다보면 답이 보일 것입니다.
파이팅!
저작물 관련 유의사항
- 본 저작물(문제 및 그림)은 학습지 제작소에 있으며, 비상업적, 상업적 이용이 가능합니다.
- 저작물을 사용 시 출처를 밝힌 후, 자유롭게 사용이 가능합니다.
Copyright. 2020. 학습지제작소. All Rights Reserved.
#태그 : 고1, 고등수학(상), 복소수와 이차방정식, 이차방정식의 근과 계수의 관계, 두 근의 합, 두 근의 곱, 근과 계수의 관계 문제, 학습지, 고1 수학 문제, 다운로드, 다운, pdf, 학습지제작소
'수학 학습지 > 공통수학1' 카테고리의 다른 글
| 사차방정식의 풀이 (개념+수학문제) (0) | 2020.06.23 |
|---|---|
| 세 실근을 가지는 삼차방정식 (개념+수학문제) (0) | 2020.06.20 |
| 이차방정식의 해, 실근, 허근 (개념+수학문제) (0) | 2020.05.25 |
| 복소수의 나눗셈, 분수로 주어진 복소수의 계산 (개념+수학문제) (0) | 2020.05.17 |
| 복소수의 덧셈, 뺄셈, 곱셈 (개념 + 수학문제) (0) | 2020.05.03 |

