
안녕하세요, 학습지제작소입니다.
오늘은 지난 시간의 복소수의 덧셈, 뺄셈, 곱셈에 이어서
복소수의 나눗셈을 공부해보도록 하겠습니다.
| 복소수의 나눗셈
분모가 복소수인 식을 한 번 정리해봅시다.
1) 분모가 허수인경우

은 어떻게 정리할 수 있을까요?
분자와 분모에 허수단위 i를 곱하여 간단하게 나타낼 수 있습니다.

예)

2) 분자가 실수이고 분모가 복소수인 경우
분모가 복소수인 식은 어떻게 간단하게 나타낼 수 있을까요?
분모를 실수화하기 위해서는 합차공식을 이용할 수 있습니다.
실수 a,b에 대한 합차공식은 아래 공식과 같은데요,

복소수의 경우 다음과 같이 적용해볼 수 있습니다.

다시말해, 분모의 켤레복소수를 분자와 분모에 곱해주면 됩니다.
예)

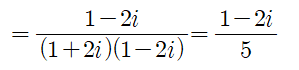
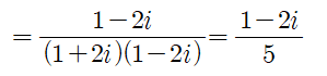
다음 식을 한 번 정리해봅시다.

분자는 1이고 분모는 1+2i입니다.
분모의 켤레복소수를 분자와 분모에 곱해주면 분모를 실수화할 수 있습니다.

3) 분자와 분모가 모두 복소수인 경우
분자와 분모가 모두 복소수인 경우에는 어떻게 간단히 나타낼 수 있을까요?
'2) 분자가 실수이고 분모가 복소수인 경우'와 마찬가지로
분모에 켤레복소수를 곱하여 간단하게 나타낼 수 있습니다.
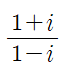
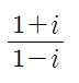
다음 식을 정리해봅시다.

위 식의 분자는 1+i이고 분모는 1-i입니다.
분모 1-i의 켤레복소수 1+i를 분자와 분모에 곱하면 분모를 실수화할 수 있습니다.



이번 학습지는 분수꼴의 복소수를 간단히 나타내는 문제로 만들었습니다.
분모를 실수화하는 과정을 꼼꼼하게 짚어보며 풀면 좋겠습니다.
학습지 첨부파일은 다음과 같습니다.
오늘의 포스팅은 여기까지입니다.
감사합니다 😊
저작물 관련 유의사항
- 본 저작물(문제 및 그림)은 학습지 제작소에 있으며, 비상업적, 상업적 이용이 가능합니다.
- 저작물을 사용 시 출처를 밝힌 후, 자유롭게 사용이 가능합니다.
Copyright. 2020. 학습지제작소. All Rights Reserved.
#태그 : 복소수와 이차방정식, 복소수, 복소수의 나눗셈, 복소수 문제, 나눗셈 문제, 고1, 고등수학(상), 고등수학 복소수 나눗셈, 복소수 학습지, pdf, 다운로드, 학습지제작소
'수학 학습지 > 공통수학1' 카테고리의 다른 글
| 근과 계수의 관계 (고등수학 (상)개념+수학문제) (0) | 2020.06.02 |
|---|---|
| 이차방정식의 해, 실근, 허근 (개념+수학문제) (0) | 2020.05.25 |
| 복소수의 덧셈, 뺄셈, 곱셈 (개념 + 수학문제) (0) | 2020.05.03 |
| 켤레복소수 구하기 (개념+수학문제) (0) | 2020.04.12 |
| 인수정리 (고등수학(상) 개념+수학문제) (0) | 2020.03.29 |