
안녕하세요, 학습지제작소입니다.
오늘은 고등학교 1학년 수학(고등수학)을 포스팅하는 날입니다.
지난주까지 나머지정리의 의미에 대해서 알아보고, 일차식과 이차식으로 나누는 연습을 해보았습니다.
이번주는 지난주에 이어서 인수정리에 대해 알아보도록 하겠습니다.
이름부터 나머지정리와 비슷하죠?
실제로 나머지정리와 굉장히 유사합니다.
| 인수정리란 무엇일까?
나머지정리는 어떤 다항식을 일차식이나 이차식으로 나누었을 때 나머지에 대한 공식이었는데요,
다항식 P(x)를 (x-a)로 나눈다면, 나머지 R은 다음과 같이 구할 수 있습니다.
P(x) = (x-a)Q(x)+R
이 식에 x=a를 대입하면,
P(x) = (a-a)Q(a)+R이 되고,
P(a)=R
이 성립합니다.
인수정리는 R=0일 때, 즉 나머지가 0일 때 나머지정리 꼴입니다.
나머지정리가 다항식으로 나누었을 때의 상황이었다면, 인수정리는 나누어 떨어질 때 상황입니다.
다항식 P(x)가 (x-a)로 나누어 떨어진다면, 다음과 같은 식을 세워볼 수 있습니다.
P(x) = (x-a)Q(x)
여기서 x=a를 대입한다면, P(a) = (a-a)Q(a)가 되어 P(a)=0이 성립합니다.
즉, 인수로 나누어떨어질 때 인수가 0이 되도록 대입한 값은 0입니다.
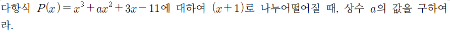
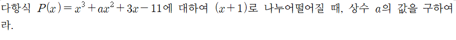
한 번 예제를 풀어볼까요?
<예제>


답 : 15
이와 같이 인수정리는 나누어 떨어지는 상황에서 상수를 찾는데 도움을 줍니다.


이번 주 학습지는 여러가지 다항식을 주고 나누어 떨어지는 상황에서 상수 a의 값을 찾는 문제들로 구성했습니다. 나머지정리와 유사하니, 인수정리 식을 세워보고 미지수를 찾아보는 연습을 하시길 바라요!
학습지 첨부파일은 아래에 있습니다.
오늘도 여러분의 수학 공부를 응원하겠습니다.
감사합니다 ^^
※ 저작물 관련 유의사항
- 본 저작물(문제 및 그림)은 학습지 제작소에 있으며, 비상업적, 상업적 이용이 가능합니다.
- 저작물을 사용 시 출처를 밝힌 후, 자유롭게 사용이 가능합니다.
Copyright. 2020. 학습지제작소. All Rights Reserved.
#태그 : 인수정리, 다항식 나누기, 다항식 나누어 떨어질 때, 인수정리 문제, 인수정리 학습지, 인수정리 pdf, 고1 수학 문제, 고등수학 수학 문제, 인수정리 연습문제, 다운로드, 다운, 학습지제작소, 고1 학습지제작소
'수학 학습지 > 공통수학1' 카테고리의 다른 글
| 복소수의 덧셈, 뺄셈, 곱셈 (개념 + 수학문제) (0) | 2020.05.03 |
|---|---|
| 켤레복소수 구하기 (개념+수학문제) (0) | 2020.04.12 |
| 나머지정리 (2) : 이차식으로 나눈 나머지 구하기 (개념+연산문제) (0) | 2020.03.14 |
| 나머지정리 (1) : 일차식으로 나눈 나머지 (개념+수학문제) (0) | 2020.03.06 |
| 곱셈공식을 활용한 인수분해 (고등수학(상) 개념+수학문제) (0) | 2020.02.24 |