
안녕하세요,
학습지제작소입니다.
오늘은 고등학교 1학년 고등수학(상) 일곱 번째 포스팅을 하는 날입니다.
지난 주에는 일차식으로 나눈 나머지를 구하는 방법을 나머지정리와 함께 소개해 드렸는데요,
오늘은 그보다 난이도가 높은 이차식으로 나눈 나머지 구하기를 공부하도록 하겠습니다.
| 이차식으로 나누면 나머지는 어떤 꼴일까?
일차식으로 나누었을 때는 나머지가 상수였는데요, 이차식으로 나누면 나머지는 어떤 모습을 하고 있을까요?
한 번 임의의 삼차식을 이차식으로 나누어봅시다.

위 예제에서 볼 수 있듯이 나머지는 일차식입니다. 하지만, 다항식을 세로셈으로 풀면 불편하기도 하고 다항식의 모든 항을 주지 않고 P(x)꼴로 주는 경우도 있으므로 한계점을 갖고 있다고 볼 수 있습니다.
| 나머지정리로 나머지 구하기
이러한 상황에서는 나머지정리를 활용할 필요가 있는데요,

를 나누었다면, 다음과 같이 표현할 수 있습니다.

나누는 식을 인수분해하면,

이 때 R(x)는 일차식이므로 상수 a,b를 활용해 표현해줍니다.

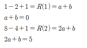
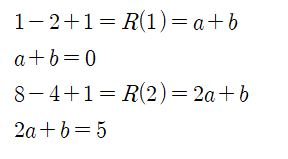
이 때 x=1, x=2를 각각 대입하면 Q(x)가 있는 식을 소거할 수 있습니다.

두 식을 연립하면,

을 얻을 수 있습니다.
정답 : 5x-5
이차식으로 나눌 때 나머지를 구하는 방법을 정리하면 아래와 같습니다.
첫째, 나누는 식을 인수분해한다.
둘째, 인수가 0이 되도록 하는 x의 값을 대입한다.
셋째, 나머지의 계수(a,b)에 대하여 연립방정식을 푼다.


이번 학습지는 인수분해가 되는 이차식으로 나누었을 때 나머지를 구하는 문제 50제로 준비했습니다. 연립방정식을 세우고, 알맞은 나머지를 구하는 데 유용한 학습지입니다.
첨부파일은 아래에 있습니다.
오늘로 나머지정리에 대한 두 포스팅을 마쳤는데요, 다음 포스팅부터는 복소수의 의미, 연산을 다루어보려고 합니다.
다음 포스팅 때 뵙도록 하겠습니다.
감사합니다!
※ 저작물 관련 유의사항
- 본 저작물(문제 및 그림)은 학습지 제작소에 있으며, 비상업적, 상업적 이용이 가능합니다.
- 저작물을 사용 시 출처를 밝힌 후, 자유롭게 사용이 가능합니다.
Copyright. 2020. 학습지제작소. All Rights Reserved.
#태그 : 고등수학(상), 나머지정리, 이차식, 나머지정리 연립방정식으로, 나머지정리 활용, 이차식으로 나눈 나머지, 나머지정리 학습지, 고1 나머지정리 문제, 나머지정리 연습문제
'수학 학습지 > 공통수학1' 카테고리의 다른 글
| 켤레복소수 구하기 (개념+수학문제) (0) | 2020.04.12 |
|---|---|
| 인수정리 (고등수학(상) 개념+수학문제) (0) | 2020.03.29 |
| 나머지정리 (1) : 일차식으로 나눈 나머지 (개념+수학문제) (0) | 2020.03.06 |
| 곱셈공식을 활용한 인수분해 (고등수학(상) 개념+수학문제) (0) | 2020.02.24 |
| 조립제법을 활용한 인수분해 (개념+수학문제) (0) | 2020.02.11 |