
안녕하세요, 학습지제작소입니다.
오늘은 고등학교 1학년 수학 학습지를 포스팅해보려고 합니다.
지난 4번 학습지는 조립제법을 이용한 인수분해식을 풀어보았다면,
오늘은 곱셈공식을 이용한 인수분해에 대해 이야기해보려고 합니다.
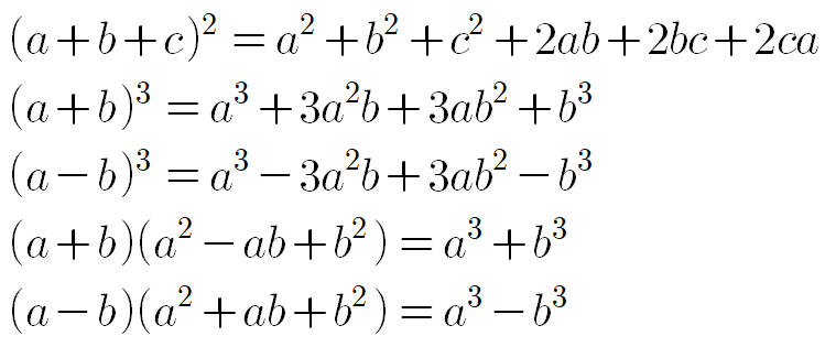
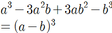
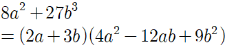
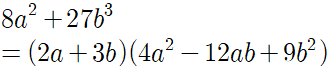
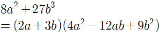
* 곱셈공식
곱셈공식은 묶여 있는, 이른 바 인수분해되어있는 식을 풀어주는 식이었는데요,
고등학교에서는 다음과 같은 다섯 가지의 새로운 인수분해 식을 배웁니다.

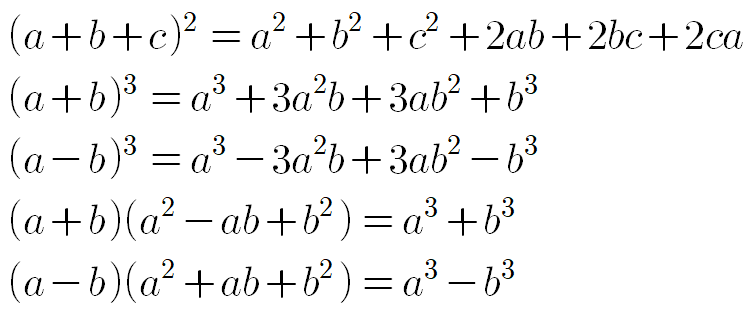
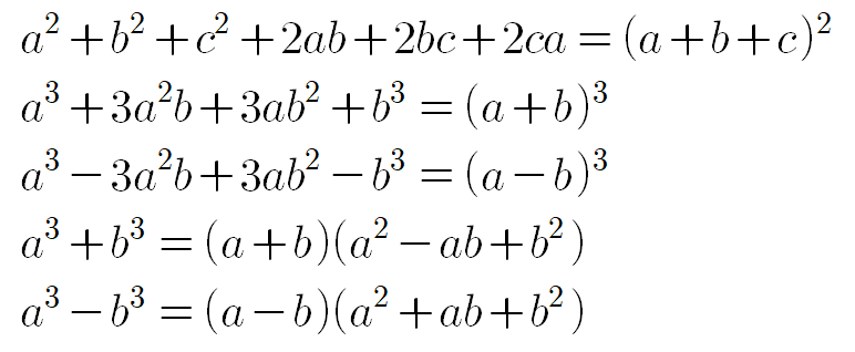
* 인수분해
인수분해는 전개식을 인수끼리 묶는 것으로, 어찌보면 전개의 반대 과정인데요, 곱셈공식과 비교했을 때 좌항과 우항이 서로 바뀌어 있습니다.

이번 학습지는 이 다섯 가지 유형을 연습해볼 수 있도록 문제를 구성했습니다.
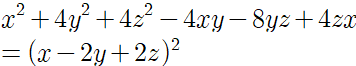
* 인수분해, 어떻게 할까?
인수분해를 하기 위해서는 기본 공식에서 a,b,c가 무엇을 의미하는지 생각하고, 대입해보아야 합니다.
예)

은 a와 2가 각각 위 공식에서 a,b인 식입니다. 따라서

입니다.
예)

은 x와 2가 각각 위 공식에서 a,b인 식입니다. 이는 네 번째 인수분해 식과 모습이 일치하므로,

입니다.
* 인수분해, 연습해보자.
1.

2.

3.

<정답>
1.

2.

3.

오늘은 곱셈공식을 이용한 인수분해를 알아보았는데요, 도움이 되셨나요?
이번 학습지를 풀어보며 다지는 시간이 되었으면 좋겠습니다.

※ 학습지 첨부파일
오늘도 평안한 하루 보내시기를 바랍니다!
※ 저작물 관련 유의사항
- 본 저작물(문제 및 그림)은 학습지 제작소에 있으며, 비상업적, 상업적 이용이 가능합니다.
- 저작물을 사용 시 출처를 밝힌 후, 자유롭게 사용이 가능합니다.
Copyright. 2020. 학습지제작소. All Rights Reserved.
#태그 : 고등학교, 수학, 고등수학(상), 인수분해, 인수분해 문제, 수학문제, 고등학교 수학 문제, 다운, pdf, 인수분해 고등학교 문제, 곱셈공식, 삼차식, 완전제곱식
'수학 학습지 > 공통수학1' 카테고리의 다른 글
| 인수정리 (고등수학(상) 개념+수학문제) (0) | 2020.03.29 |
|---|---|
| 나머지정리 (2) : 이차식으로 나눈 나머지 구하기 (개념+연산문제) (0) | 2020.03.14 |
| 나머지정리 (1) : 일차식으로 나눈 나머지 (개념+수학문제) (0) | 2020.03.06 |
| 조립제법을 활용한 인수분해 (개념+수학문제) (0) | 2020.02.11 |
| 고등수학(상) 다항식의 전개 수학문제 다운로드 (0) | 2020.01.29 |