
* 같이 보면 좋은 글
[ 50 / 개념 ] 일차방정식 (1) - 간단한 일차방정식, 소괄호가 있는 일차방정식
[ 50 / 개념 ] 일차방정식 (2) - 중괄호가 있는 일차방정식
* 개요
이 자료는 일차방정식 풀이를 공부하는 학생들이 충분한 문제로 연습해보도록 만든 자료입니다.
학습지에 수록된 문항의 유형은 다음과 같습니다.
학습지는 모두 50문항입니다.
1) 간단한 일차방정식 (ax+b=cx+d)
2) 괄호가 있는 일차방정식 (소괄호, 중괄호)
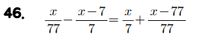
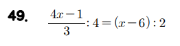
3) 복잡한 일차방정식(계수가 분수인 경우, 소수인 경우, 비례식) (41번~50번)
3) 복잡한 일차방정식(계수가 분수인 경우, 소수인 경우, 비례식)의 경우 관련 개념글을 작성하지 않았기 때문에 해설을 달아놓았습니다. 해설을 보면서 일차방정식의 풀이 과정을 점검해보세요.
답안지(해설지)에 오류가 있는 경우, 자유게시판에 문의해주세요. 여러분의 피드백이 정말 큰 도움이 됩니다.
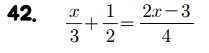
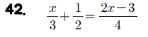
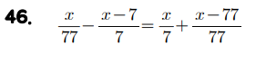
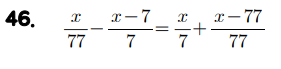
41번부터 50번까지의 문제와 해설은 다음과 같습니다.





















* 학습지 미리보기


* 첨부파일
* 닫는 말
이번 학습지는 일차방정식의 활용 종합 연습문제입니다. 계수가 분수인 일차방정식/계수가 소수인 일차방정식/비례식 꼴 일차방정식의 풀이는 추후 포스팅해보도록 하겠습니다. 감사합니다.
✔ 이 글이 도움이 되셨나요?
- 댓글이나 자유게시판에 글을 남겨주세요. 글쓴이에게 큰 힘이 됩니다.
✔ 저작물 관련 유의사항
- 본 저작물(문제 및 그림)은 학습지제작소에 있으며, 비상업적, 상업적 이용(수업에서 부교재로 사용하는 경우만)이 가능합니다.
- 저작물을 사용 시 출처를 밝힌 후, 자유롭게 사용이 가능합니다.
- 학습지제작소의 저작물을 관리자의 동의없이 2차 배포하거나, 제 3자에게 제공하거나, 또는 출판하는 행위(ISBN이 포함된 서적으로 출판)는 엄격히 금지합니다.
Copyright. 2020. 학습지제작소. All Rights Reserved.
#태그 : 중1, 중학교 1학년, 계산학습지, 일차방정식의 풀이, 학습지제작소
'수학 학습지 > 중학교 1학년 1학기' 카테고리의 다른 글
| [중1-1] 유리수의 대소 비교, 유리수 비교하기 학습지 (개념+수학문제) (0) | 2021.12.05 |
|---|---|
| [중1-1] 역수 (개념+수학문제) (0) | 2021.11.17 |
| 소인수분해의 기초 - 가지치기 (개념+수학문제) (0) | 2021.03.28 |
| 최대공약수와 최소공배수 사이의 관계 (개념+연습문제) (0) | 2021.03.25 |
| □가 들어간 유리수의 덧셈과 뺄셈 (중1-1 수학활동지, 프린터, 학습지) (0) | 2021.03.22 |