
| 같이 보면 좋은 글
| 이차함수의 그래프
(1) y=x^2, y=-x^2의 그래프

이차함수의 그래프는 포물선 모양으로,
이차항의 계수가 양수라면 아래로 볼록
이차항의 계수가 음수라면 위로 볼록합니다.
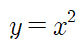
위 그림에서 파란색 그래프는

의 그래프입니다. 그래프를 분석해보면,
* 개형: 아래로 볼록
* 정의역 : { x | x는 실수 전체의 집합 }
* 치역 : { y | y ≥ 0 }
* 대칭축 : x=0 (y축)
* 꼭짓점 : (0,0)
입니다.
반면 위 그림에서 빨간색 그래프는

의 그래프입니다. 그래프를 분석해보면,
* 개형: 위로 볼록
* 정의역 : { x | x는 실수 전체의 집합 }
* 치역 : { y | y ≤ 0 }
* 대칭축 : x=0 (y축)
* 꼭짓점 : (0,0)
입니다.
(2) y=ax^2, y=-x^2
y=ax^2그래프에서 a는 그래프의 폭을 결정합니다.
a의 절댓값이 커질수록 그래프의 폭이 좁아집니다.

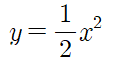
위 그래프에서 검정색 그래프는

파란색 그래프는

하늘색 그래프는

입니다.
자료에서 알 수 있듯이 a의 절댓값이 커질수록 y축에 가까워집니다.
y=2x^2의 그래프를 분석해보면,
* 개형: 아래로 볼록
* 정의역 : { x | x는 실수 전체의 집합 }
* 치역 : { y | y ≥ 0 }
* 대칭축 : x=0 (y축)
* 꼭짓점 : (0,0)
입니다.
(3) y=a(x-p)^2+q의 그래프

이차함수의 표준형이라고도 불리는 이 함수는
y=ax^2의 그래프를 x축의 방향으로 p만큼,
y축의 방향으로 q만큼 평행이동한 그래프입니다.
예를 들어,


그래프를 분석해보면,
* 개형: 위로 볼록
* 정의역 : { x | x는 실수 전체의 집합 }
* 치역 : { y | y ≤ 1 }
* 대칭축 : x=1
* 꼭짓점 : (1,1)
| 학습지 미리보기


| 첨부파일
| 닫는 말
이번 학습지는 여러 이차함수의 그래프를 그려보는 내용으로 준비했습니다.
축의 위치와 꼭짓점의 위치, 개형을 생각하고 이차함수를 그려봅시다.
그래프 그리기 학습지는 정답을 제공하지 않으니, 참고 바랍니다.
✔ 저작물 관련 유의사항
- 본 저작물(문제 및 그림)은 학습지 제작소에 있으며, 비상업적, 상업적 이용이 가능합니다.
- 저작물을 사용 시 출처를 밝힌 후, 자유롭게 사용이 가능합니다.
- 학습지제작소의 저작물을 2차 배포하거나, 제 3자에게 제공하거나, 또는 출판하는 행위(ISBN이 포함된 서적으로 출판)는 엄격히 금지합니다.
Copyright. 2020. 학습지제작소. All Rights Reserved.
#태그 : 중3, 중학교 3학년, 이차함수의 그래프 학습지, 이차함수의 그래프 문제, 다운, 이차함수의 그래프 활동지, 학습자료, pdf, 학습지제작소
'수학 학습지 > 중학교 3학년 1학기' 카테고리의 다른 글
| 근호 안의 완전제곱식 풀기 (개념+수학문제) (0) | 2021.01.03 |
|---|---|
| 이차함수의 평행이동 (개념+수학문제) (0) | 2020.09.20 |
| 이차함수의 뜻과 함숫값 (개념+수학문제) (0) | 2020.09.06 |
| 공통근 : 두 이차방정식이 공통으로 갖는 해 (개념+수학문제) (0) | 2020.08.31 |
| 근의 공식 - 이차방정식의 뜻과 풀이 (2) (개념+수학문제) (0) | 2020.08.25 |