
| 같이 보면 좋은 글
| 완전제곱식을 이용한 이차방정식의 풀이
이차방정식은 인수분해를 이용한 풀이 외에도 완전제곱식을 이용하여 풀 수 있습니다.
좌변을 완전제곱식으로 만든 후 제곱근을 구하면
서로 다른 두 실근을 구할 수 있습니다.

| 근의 공식
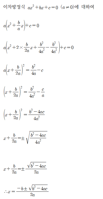
완전제곱식을 이용하면 근의 공식을 유도할 수 있습니다.
근의 공식은 이차방정식의 계수를 가지고
해를 구하는 공식을 뜻합니다.
근의 공식을 유도하는 과정은 다음과 같습니다.

[정리] 이차방정식 ax^2+bx+c=0에 대하여 실근 x는

[참고] 이차방정식 ax^2+bx+c=0에 대하여 b가 짝수일 때 실근 x는

이 공식은 짝수공식이라고도 불리며, 일차항의 계수가 짝수일 때 쓸 수 있는 공식입니다. (b'는 b를 2로 나눈 몫)
예)

예)

| 학습지 미리보기


| 첨부파일
| 닫는 말
모든 이차식은 인수분해할 수 없습니다. 이때에는 완전제곱식으로 나타내거나 근의 공식에 대입하여 근을 구해야 합니다. 근의 공식 자체가 복잡하게 생겼기 때문에 어떤 자리에 어떤 계수를 대입해야 하는지 살펴보고 적용해보아야 합니다.
✔ 저작물 관련 유의사항
- 본 저작물(문제 및 그림)은 학습지 제작소에 있으며, 비상업적, 상업적 이용이 가능합니다.
- 저작물을 사용 시 출처를 밝힌 후, 자유롭게 사용이 가능합니다.
- 학습지제작소의 저작물을 2차 배포하거나, 제 3자에게 제공하거나, 또는 출판하는 행위(ISBN이 포함된 서적으로 출판)는 엄격히 금지합니다.
Copyright. 2020. 학습지제작소. All Rights Reserved.
#태그 : 중3, 중학교 3학년, 중3 근의 공식, 이차방정식 학습지, 이차방정식 근의 공식 유도, 근의 공식 연습문제, 이차방정식 무료 문제, 다운, 다운로드, 학습지제작소, 완전제곱식
'수학 학습지 > 중학교 3학년 1학기' 카테고리의 다른 글
| 이차함수의 뜻과 함숫값 (개념+수학문제) (0) | 2020.09.06 |
|---|---|
| 공통근 : 두 이차방정식이 공통으로 갖는 해 (개념+수학문제) (0) | 2020.08.31 |
| 이차방정식의 뜻과 풀이 (1) : 인수분해를 이용한 해 구하기 (개념+수학문제) (0) | 2020.08.24 |
| 인수분해 (개념+공식+연습문제) (3) | 2020.08.21 |
| 곱셈공식을 활용한 수의 계산, 분모의 유리화 (개념+수학문제) (0) | 2020.08.17 |