* 같이 보면 좋은 글
* 세 유리수에 대한 혼합계산을 다룬 자료입니다. 계산과정이 긴 연산이 어렵다면 위 자료를 사용하시기를 바랍니다.
* 유리수의 혼합계산 심화편
1. 관련 단원
정수와 유리수
2. 관련 성취기준
[9수01-05]정수와 유리수의 사칙계산의 원리를 이해하고, 그 계산을 할 수 있다.
3. 자료의 목적
작년에 중1 유리수의 혼합계산 연습문제 자료를 나눔한 적이 있었습니다.
여기서 다루었던 핵심개념을 정리하면 다음과 같습니다.
[정리] 유리수의 혼합계산은 다음과 같은 방법으로 계산할 수 있습니다.
(1) 절댓값, 거듭제곱을 푼다.
(2) 곱셈과 나눗셈부터 차례대로 계산한다. 부호가 같으면 +, 부호가 다르면 -를 붙인다.
자연수의 혼합계산 순서를 그대로 적용합니다.
(3) 덧셈과 뺄셈을 차례대로 계산한다.
마찬가지로 유리수의 혼합계산도 혼합계산의 순서를 공부해두어야 합니다.

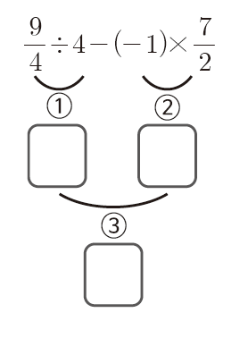
이 문제의 혼합계산 순서를 알아볼까요?
혼합계산에서는 곱셈과 나눗셈을 덧셈과 뺄셈보다 먼저합니다.따라서 ①번부터 ③번 순서로 계산할 수 있습니다.① : 9/4를 4로 나누면 9/16입니다.② : (-1)와 7/2을 곱하면 - 7/2입니다.③ : 9/16에서 -7/2를 빼면 65/16입니다.
이번 자료는 네 개 이상의 유리수가 들어있는 혼합계산 30문제를 담았습니다.
다만 2015 개정 수학과 교육과정에서 정수, 유리수와 관련하여 지나치게 복잡한 계산을 포함하는 문제는 다루지 않습니다.
따라서 분자 및 분모가 지나치게 커지지 않도록 만들었습니다.
* 학습지 미리보기


* 첨부파일
* 닫는 말
이번 학습지는 작년에 올렸던 유리수의 혼합계산(사칙계산)에서 나아가 혼합계산 순서를 알아야 풀 수 있는, 비교적 복잡한 식을 다루었습니다. 세 항으로는 혼합계산의 계산 순서를 공부하기 어려워 심화학습지를 만들었습니다. 계산이 어렵더라도 차근차근 풀어보며 수학의 재미를 느껴봅시다.
✔ 이 글이 도움이 되셨나요?
- 댓글이나 자유게시판에 글을 남겨주세요. 글쓴이에게 큰 힘이 됩니다.
✔ 저작물 관련 유의사항
- 본 저작물(문제 및 도형 그림)은 학습지제작소에 있으며, 비상업적, 상업적 이용(수업에서 부교재로 사용하는 경우만)이 가능합니다.
- 다른 사진을 참조한 경우, 파일 마지막 페이지에 출처를 밝히고 있습니다.
- 저작물을 사용 시 출처를 밝힌 후, 자유롭게 사용이 가능합니다.
- 학습지제작소의 저작물을 관리자의 동의없이 2차 배포하거나, 제 3자에게 제공하거나, 또는 출판하는 행위(ISBN이 포함된 서적으로 출판)는 엄격히 금지합니다.
Copyright. 2022. 학습지제작소. All Rights Reserved.
#태그 :
'수학 학습지 > 중학교 1학년 1학기' 카테고리의 다른 글
| [중1] 일차방정식의 활용 (6): 의자 문제, 과부족에 대한 문제 (개념+수학문제) (5) | 2022.12.04 |
|---|---|
| [중1-1] 비례식으로 주어진 일차방정식 | 일차방정식의 풀이 유형 30제 (0) | 2022.05.05 |
| 일차방정식의 활용 거속시(거리 속력 시간) 수학문제 | 중1수학 연습문제 (1) | 2022.01.20 |
| 중1 유리수 잘못 계산했을 때 문제 유형 정복! (0) | 2021.12.14 |
| [중1-1] 유리수의 대소 비교, 유리수 비교하기 학습지 (개념+수학문제) (0) | 2021.12.05 |