
* 같이 보면 좋은 글
📄 [중1-1] 유리수의 대소 비교, 유리수 비교하기 학습지 (개념+수학문제)
* 유리수를 잘못 계산했을 때 문제 풀이
정수와 유리수 단원 문제 중 이러한 문제가 있습니다.
문) 어떤 수에 -1/3을 더해야 할 것을 잘못하여 빼었더니 -3/4를 얻었다. 바르게 계산한 값을 구하시오.
이번 시간에는 이러한 유형을 어떻게 푸는지 알아보고,
10문항 분의 연습문제로 다져보겠습니다.
문제 풀이 방법은 다음과 같습니다.
1) 어떤 수를 □로 놓습니다.
2) 틀리게 계산한 식을 세웁니다.
3) 어떤 수가 얼마인지 알아냅니다.
4) 바르게 계산한 식을 세운 후, 계산합니다.
위와 같은 예제는 다음과 같이 계산할 수 있습니다.

정리하면, 어떤 수를 구한 뒤 바르게 계산한 답을 구해야 합니다.
문제를 두 단계에 단계적으로 풀 필요가 있습니다.
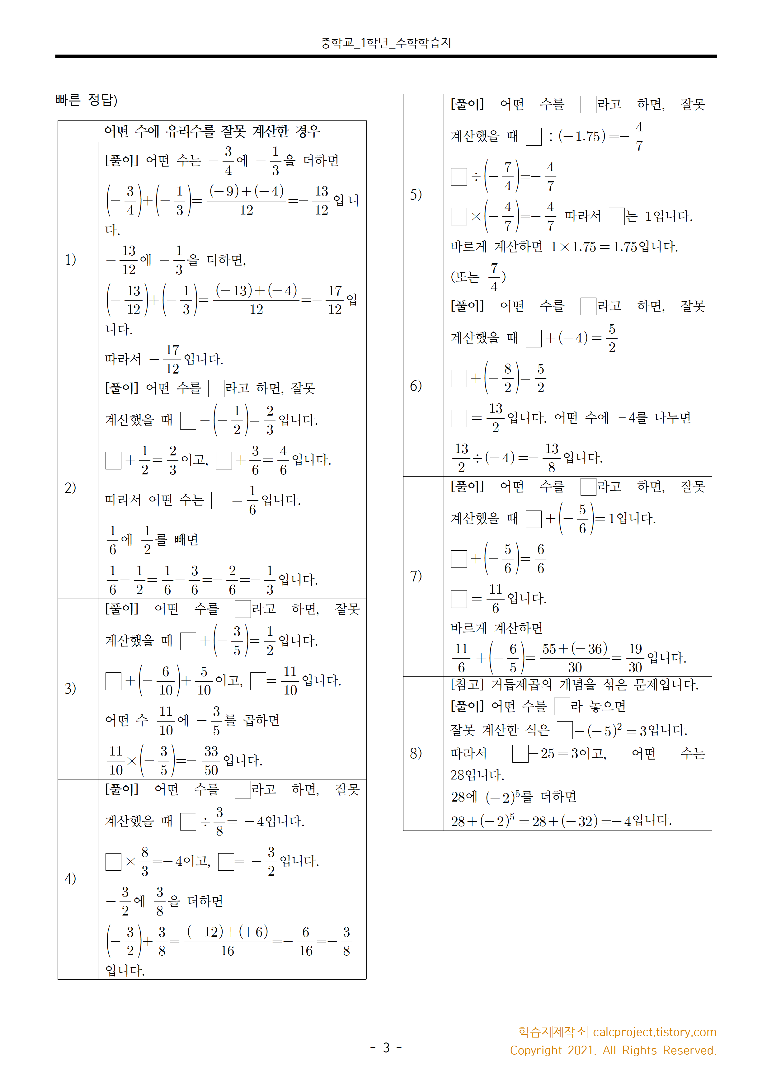
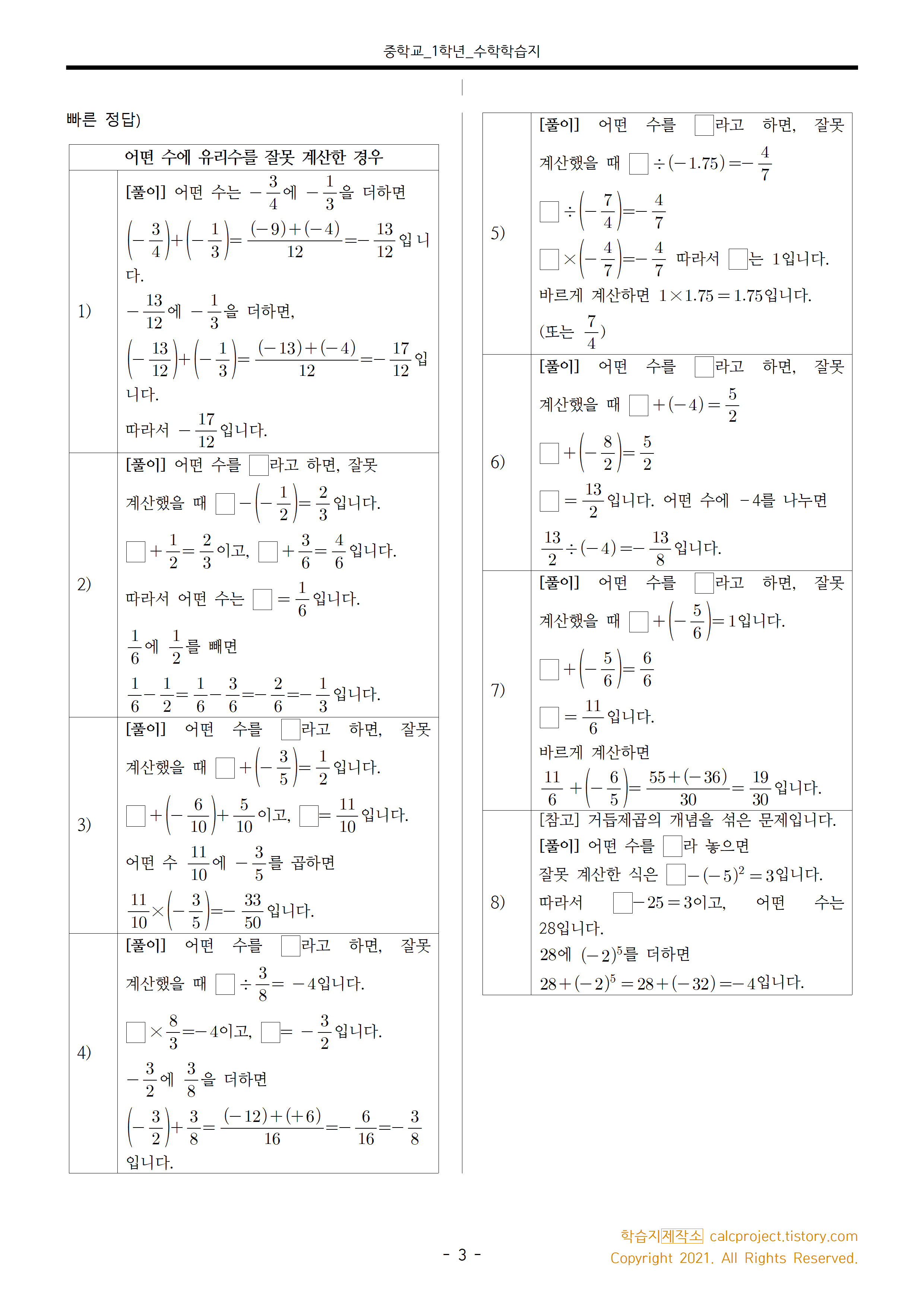
* 학습지 미리보기


* 첨부파일
* 닫는 말
이번 시간에는 유리수로 잘못 계산했을 때 유형 정복하기를 주제로 학습지를 공유해보았습니다.
여러 가지 난도의 연습문제로 구성하였고, 충분히 연습하실 수있도록 자료 만들었습니다.
열람하시고 학습에 활용하시면 될 것 같습니다.
이상으로 글 마치겠습니다.
감사합니다.
✔ 이 글이 도움이 되셨나요?
- 댓글이나 자유게시판에 글을 남겨주세요. 글쓴이에게 큰 힘이 됩니다.
✔ 저작물 관련 유의사항
- 본 저작물(문제 및 그림)은 학습지제작소에 있으며, 비상업적, 상업적 이용(수업에서 부교재로 사용하는 경우만)이 가능합니다.
- 저작물을 사용 시 출처를 밝힌 후, 자유롭게 사용이 가능합니다.
- 학습지제작소의 저작물을 관리자의 동의없이 2차 배포하거나, 제 3자에게 제공하거나, 또는 출판하는 행위(ISBN이 포함된 서적으로 출판)는 엄격히 금지합니다.
Copyright. 2021. 학습지제작소. All Rights Reserved.
#태그 : 중1, 유리수 계산, 유리수 잘못 계산했을 때 유형, 정수와 유리수 잘못 계산했을 때, 학습지, 수학학습지, 학습지제작소
'수학 학습지 > 중학교 1학년 1학기' 카테고리의 다른 글
| [중1-1] 유리수의 혼합계산 연산연습 심화학습지 30제 (0) | 2022.02.21 |
|---|---|
| 일차방정식의 활용 거속시(거리 속력 시간) 수학문제 | 중1수학 연습문제 (1) | 2022.01.20 |
| [중1-1] 유리수의 대소 비교, 유리수 비교하기 학습지 (개념+수학문제) (0) | 2021.12.05 |
| [중1-1] 역수 (개념+수학문제) (0) | 2021.11.17 |
| [중학교 1학년] 일차방정식의 풀이 연습문제 50제 (0) | 2021.07.10 |