* 같이 보면 좋은 글
📄 [수학 개념 + 수학학습지/수학II] - 도함수의 의미와 구하는 법, 연습문제 (수학2)
📄 [수학 개념 + 수학학습지/수학II] - 미분계수, 순간변화율 구하기 (개념+수학문제)
* 다항함수의 미분
[관련 기출문제] 2022대수능 수학 공통 2번
*학습지제작소는 저작권을 준수하기 위해 수능기출문제 풀이 및 자료 탑재를 하지 않습니다.
도함수는 다항함수를 미분한 함수를 의미합니다.
이전 포스팅에서 다루었던 내용을 요약하면 다음과 같습니다.


나아가 x의 값이 주어져있을 경우 도함수의 함숫값을 구할 수 있습니다.

거꾸로 생각하기 방법으로 문제를 풀어봅시다.
첫째, 이 문제는 도함수의 함숫값을 묻는 문제로 f'(1)의 값을 구해야 합니다.
둘째, f'(1)은 f'(x)에 x=1을 대입한 값입니다.
셋째, f'(x)는 함수 f(x)를 미분하여 얻을 수 있습니다.
이 세 가지 단서를 뒤집어 나타내면 다음과 같이 풀 수 있습니다.
1단계, 함수 f(x)를 미분한다.
2단계, 도함수 f'(x)에 x=1을 대입한다.
3단계, f'(1)의 값을 구한다.

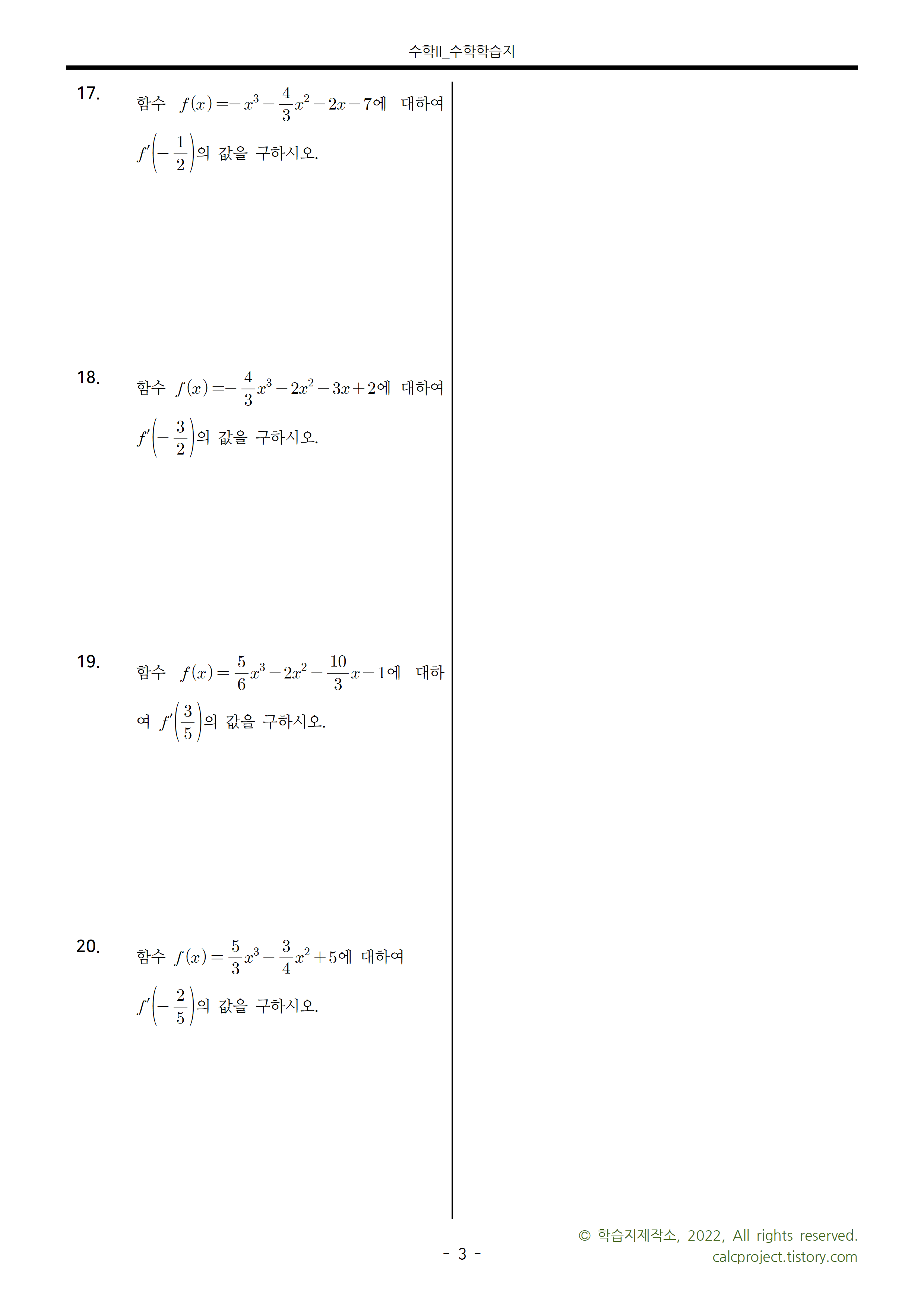
* 학습지 미리보기


* 첨부파일
* 닫는 말
이번 학습지는 다항함수의 미분 중 도함수의 함숫값 구하기를 주제로 다루어보았습니다.
2022수능 2점짜리로 출제되기도 했고, 관계깊은 적분법이 주관식으로 출제되었습니다.
기본적이지만 매년 중요하게 여겨지는 개념이니, 연습문제 풀어보시면서 다져보시면 좋겠습니다.
이상으로 포스팅을 마치겠습니다.
감사합니다.
✔ 이 글이 도움이 되셨나요?
- 댓글이나 자유게시판에 글을 남겨주세요. 글쓴이에게 큰 힘이 됩니다.
✔ 저작물 관련 유의사항
- 본 저작물(문제 및 도형 그림)은 학습지제작소에 있으며, 비상업적, 상업적 이용(수업에서 부교재로 사용하는 경우만)이 가능합니다.
- 다른 사진을 참조한 경우, 파일 마지막 페이지에 출처를 밝히고 있습니다.
- 저작물을 사용 시 출처를 밝힌 후, 자유롭게 사용이 가능합니다.
- 학습지제작소의 저작물을 관리자의 동의없이 2차 배포하거나, 제 3자에게 제공하거나, 또는 출판하는 행위(ISBN이 포함된 서적으로 출판)는 엄격히 금지합니다.
Copyright. 2022. 학습지제작소. All Rights Reserved.
#태그 : 미분, 미분 학습지, 수학2 미분 자료, 수2 미분 학습지, pdf, 다운, 다운로드, 학습지제작소
'수학 학습지 > 수학II' 카테고리의 다른 글
| [수학2] 부정적분 (개념+수학문제) | 다항함수의 부정적분 연습문제 (0) | 2022.05.02 |
|---|---|
| 도함수의 의미와 구하는 법, 연습문제 (수학2) (0) | 2021.02.07 |
| 접선의 기울기와 미분계수, 미분계수의 기하적 의미 (개념+수학문제) (0) | 2021.01.30 |
| 미분계수, 순간변화율 구하기 (개념+수학문제) (0) | 2021.01.25 |
| 평균변화율, 증분 (수학2 개념+수학문제) (0) | 2021.01.15 |