
* 같이 보면 좋은 글
* 합성함수
두 함수 f,g에 대하여 다음과 같이 합성함수를 정의할 수 있습니다.

[참고] 합성함수 g∘f가 성립하기 위해서는 f의 치역이 g의 정의역의 부분집합이어야 합니다. 따라서 세 집합이 유한집합인 경우, 위 조건을 만족하는지 확인해볼 필요가 있습니다.
[참고] 대부분 정의역과 치역은 실수 전체의 집합을 주게 되는데, 실수 전체의 집합은 서로 같으므로 부분집합을 만족합니다. 따라서 실수 범위의 정의역과 치역이 주어진다면, 위 조건을 따질 필요가 없습니다.
[참고] 합성함수 g ∘ f는 f ∘ g와 같지 않습니다.
g ∘ f ≠ f ∘ g
다시 말해, 합성함수에서는 교환법칙이 성립하지 않습니다.
[참고] 합성함수 h ∘ g ∘ f는 (h ∘ g) ∘ f나 h ∘ (g ∘ f)로 나타낼 수 있습니다.
합성함수에서 결합법칙은 성립합니다.
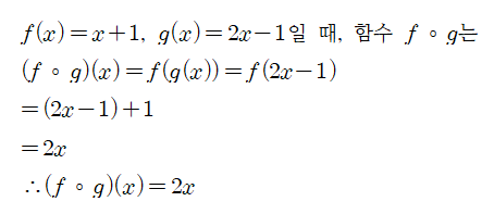
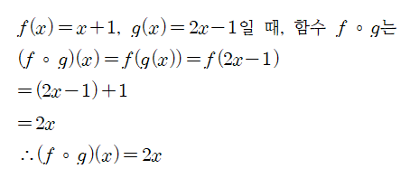
여러 가지 합성함수를 구해보면 다음과 같다.
예)

예)

* 학습지 미리보기


* 첨부파일
* 닫는 말
이번 학습지는 두 함수 f,g의 합성함수를 구하거나 합성함수의 함숫값을 구하는 문제로 구성했습니다. 주어진 함수를 정의역으로 하여 합성함수의 식을 나타내어봅시다.
✔ 저작물 관련 유의사항
- 본 저작물(문제 및 그림)은 학습지 제작소에 있으며, 비상업적, 상업적 이용이 가능합니다.
- 저작물을 사용 시 출처를 밝힌 후, 자유롭게 사용이 가능합니다.
- 학습지제작소의 저작물을 2차 배포하거나, 제 3자에게 제공하거나, 또는 출판하는 행위(ISBN이 포함된 서적으로 출판)는 엄격히 금지합니다.
Copyright. 2020. 학습지제작소. All Rights Reserved.
#태그 : 고등수학(하), 함수와 그래프, 합성함수의 뜻, 합성함수의 성질, 합성함수 문제, 합성함수 학습지, 무료, 다운, 다운로드, pdf, 학습지제작소
'수학 학습지 > 공통수학2' 카테고리의 다른 글
| [고등수학(하)] 집합과 명제 (1): 집합의 뜻과 표현 (개념+수학문제) (0) | 2022.04.07 |
|---|---|
| [고등수학(하)] 5. 역함수 (개념+수학문제) (0) | 2020.12.23 |
| [고등수학(하)] 3. 함수와 그래프 > 일대일함수와 일대일대응 (개념+수학문제) (0) | 2020.12.03 |
| [고등수학(하)] 2. 함수와 그래프 > 서로 같은 함수, 함수의 상등, f(x)=g(x) (개념+수학문제) (0) | 2020.11.28 |
| [고등수학(하)] 1. 함수와 그래프 > 정의역, 공역, 치역 (개념+수학문제) (0) | 2020.11.22 |