
* 같이 보면 좋은 글
* 서로 같은 함수(함수의 상등)
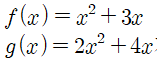
두 함수

가 있습니다. 두 함수는 서로 같은 함수일까요?
두 함수는 서로 같을수도, 다를 수도 있습니다.
중학교 때 이차함수의 그래프를 생각해보면 서로 다른 그래프를 나타낼텐데
왜 같을 수도 있을까요?
왜냐하면 두 함수의 정의역이 주어지지 않았기 때문입니다.
정의역의 모든 원소에 대하여 두 함수의 함숫값이 서로 같다면, 두 함수는 서로 같은 함수입니다.
조금 더 어려운 용어로는 함수의 상등이라고도 합니다.

의 정의역이 {-1,0}이라면 두 함수는 같을까요?
정의역의 두 원소를 함수에 각각 대입해보면
f(-1) = 1-3 = -2
g(-1) = 2-4 = -2
f(0)= 0
g(0)=0
으로
f(-1)=g(-1)
f(0)=g(0)
입니다.
따라서 두 함수는 서로 같습니다.
서로 같은 함수
정의역의 모든 원소를 두 함수에 대입했을 때 함숫값이 모두 서로 같다면,
두 함수는 서로 같습니다.
함수 f와 함수 g가 서로 같다면 f=g로 나타낼 수 있습니다.
* 학습지 미리보기


* 첨부파일
* 닫는 말
이번 학습지는 서로 같은 함수의 정의역을 찾거나, 미지수를 찾는 문항으로 구성했습니다. 수식이 다르더라도 정의역에 따라 두 함수는 같을 수 있습니다. 함수가 서로 같을 조건을 알고 문제에 적용해봅시다.
✔ 저작물 관련 유의사항
- 본 저작물(문제 및 그림)은 학습지 제작소에 있으며, 비상업적, 상업적 이용이 가능합니다.
- 저작물을 사용 시 출처를 밝힌 후, 자유롭게 사용이 가능합니다.
- 학습지제작소의 저작물을 2차 배포하거나, 제 3자에게 제공하거나, 또는 출판하는 행위(ISBN이 포함된 서적으로 출판)는 엄격히 금지합니다.
Copyright. 2020. 학습지제작소. All Rights Reserved.
#태그 : 고등수학(하), 고1, 고등학교 1학년, 함수의 상등, 함수가 서로 같을 조건, 함수 문제, 다운, 다운로드, pdf, 학습지제작소
'수학 학습지 > 공통수학2' 카테고리의 다른 글
| [고등수학(하)] 집합과 명제 (1): 집합의 뜻과 표현 (개념+수학문제) (0) | 2022.04.07 |
|---|---|
| [고등수학(하)] 5. 역함수 (개념+수학문제) (0) | 2020.12.23 |
| [고등수학(하)] 4. 합성함수 (개념+수학문제) (0) | 2020.12.10 |
| [고등수학(하)] 3. 함수와 그래프 > 일대일함수와 일대일대응 (개념+수학문제) (0) | 2020.12.03 |
| [고등수학(하)] 1. 함수와 그래프 > 정의역, 공역, 치역 (개념+수학문제) (0) | 2020.11.22 |