
* 같이 보면 좋은 글
* 비례배분
비례배분
주어진 수나 양을 비로 나누는 것을 말합니다.
(비율이 나누는 비의 비율과 같으면서, 전항과 후항의 합이 주어진 수와 같아야 합니다.)
예) 100을 1:3으로 비례배분해봅시다.
비 1:3에서 전항과 후항의 합이 4이고,
100을 4로 나누면 25입니다.
따라서 비 1:3의 전항과 후항에 각각 25를 곱하면
두 항의 합이 100이 되도록 만들 수 있습니다.
1×25 = 25
3×25 = 75이므로
100을 1:3으로 비례배분하면 25:75가 됩니다.
예) 30을 2:1로 비례배분하면 20:10
예) 45를 4:5로 비례배분하면 20:25
[정리] 비례배분 계산하는 방법 (☆:○)
1) 전항(☆)과 후항(○)을 더한다.
2) 주어진 수에

을 곱해 전항을 구한다.
3) 주어진 수에

을 곱해 후항을 구한다.
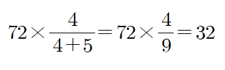
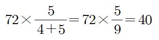
예) 72를 4:5로 비례배분하기 위해서는


이므로 32:40이 됩니다.
* 학습지 미리보기


* 첨부파일
* 닫는 말
이번 학습지는 비례배분에 대한 내용으로, 주어진 양을 비로 나누는 것입니다.
비례배분을 해보며 비례배분을 익혀봅시다.
✔ 저작물 관련 유의사항
- 본 저작물(문제 및 그림)은 학습지 제작소에 있으며, 비상업적, 상업적 이용이 가능합니다.
- 저작물을 사용 시 출처를 밝힌 후, 자유롭게 사용이 가능합니다.
- 학습지제작소의 저작물을 2차 배포하거나, 제 3자에게 제공하거나, 또는 출판하는 행위(ISBN이 포함된 서적으로 출판)는 엄격히 금지합니다.
Copyright. 2020. 학습지제작소. All Rights Reserved.
#태그 : 초6, 초등학교 6학년, 비례식과 비례배분 개념, 비례배분 뜻, 비례배분 하는 법, 비례배분 문제, 비례배분 학습지, 다운, 다운로드, pdf, 학습지제작소
'수학 학습지 > 초등학교 6학년 2학기' 카테고리의 다른 글
| [초6-2] 17. 원의 넓이 계산하는 법, 원의 넓이 학습지 (개념+수학문제) (0) | 2020.10.29 |
|---|---|
| [초6-2] 16. 원주율의 뜻, 원의 둘레(원주) 구하기 (개념+수학문제) (0) | 2020.10.22 |
| [초6-2] 14. 비례식과 비례배분 > 비례식 빈칸 구하기 (개념+수학문제) (0) | 2020.10.06 |
| [초6-2] 13. 비례식의 뜻과 성질 (개념+수학문제) (0) | 2020.09.29 |
| [초6-2] 12. 가장 간단한 자연수의 비 (구하는 법+수학문제) (0) | 2020.09.23 |