안녕하세요, 학습지제작소입니다.
이 카테고리(이하 보충자료)에 올리는 보충자료라 함은,
현재 연재 중이지 않고 이전에 사용했던 학습지자료로 해당 진도 관련 문제를 풀고 싶거나, 보충문제를 찾으시는 선생님들께 공유하고자 올리는 자료입니다.
따라서 보충자료는 연재를 시작하지 않는 이상 새로운 문제가 업로드되지 않으니 양해의 말씀드립니다.
※ 학습지 제작의 주안점
중학교 2학년 보충자료는 많은 분들이 찾는 주제부터 차례대로 업로드하고자 합니다. 따라서 중2 진도와 조금 차이가 있을 수 있습니다.
따라서 첫번째 주제를 연립방정식으로 하기로 하였습니다.
물론 앞에 다항식의 사칙연산이나, 지수 계산하기 등의 중요한 활동이 있지만, 많은 분들이 연립방정식 연산 문제를 필요로 하실 것으로 생각하여 순서를 조금 바꾸었습니다.
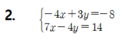
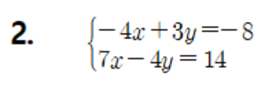
일반적으로 중학교 수준의 연립방정식은 두 개의 이원일차방정식이 묶여 있는 것을 의미합니다.
이원이란 미지수가 2개임을 의미하는 것이고, 일차방정식은 최대 차수가 1인 식을 말합니다.

따라서 문자 x,y가 주로 쓰이고, 두 식이 묶여있다는 점을 이용해서 문제를 해결해야 합니다.

문자가 3개인 방정식은 좌표평면 위의 직선이 아닌, 공간좌표 위의 평면이 되므로, 이는 중학교 과정에서 다루지 않습니다.
연립방정식을 해결하는 방법은 가감법과 대입법이 있습니다.
1. 가감법 : 두 식에 적절한 수를 곱하거나 나누어 한 문자를 소거하는 방법
※ 등식의 양변에 2를 곱하는 과정은 등식의 성질(중1)과 관련이 있습니다. $a=b$일 때 $ac=bc$를 이용합니다.

2. 대입법 : 한 미지수를 다른 미지수에 관한 식으로 나타내어 대입하는 방법

※ 프로젝트 설명
[2020SP M2] 중학교 2학년 연산 보충 자료입니다.
※ 주제
연립방정식
※ 미리보기


※ 학습지 첨부파일
※ 저작물 관련 유의사항
- 본 저작물(문제 및 그림)은 학습지 제작소에 있으며, 비상업적, 상업적 이용이 가능합니다.
- 저작물을 사용 시 출처를 밝힌 후, 자유롭게 사용이 가능합니다.
Copyright. 2020. 학습지제작소. All Rights Reserved.
'수학 학습지 > 중학교 2학년 1학기' 카테고리의 다른 글
| [중2-1] 6. 유리수와 순환소수 > 순환소수를 분수로 나타내는 법 (개념+수학문제) (0) | 2020.03.02 |
|---|---|
| [중2-1] 5. 유리수와 순환소수 > 순환소수로 나타내기 (2) (개념+수학문제) (0) | 2020.02.28 |
| [중2-1] 4. 유리수와 순환소수 > 순환소수로 나타내기 (개념+수학문제) (0) | 2020.02.21 |
| [중2-1] 3. 유리수와 순환소수 > 유한소수와 무한소수 구분하기 (개념+수학문제) (1) | 2020.02.17 |
| [중2-1] 2. 연립방정식 (2) (수학문제) (0) | 2020.02.13 |