
| 같이 보면 좋은 글
| 반비례의 의미
[정리] 반비례란, x가 2,3,4...배가 될 때 y가 1/2, 1/3, 1/4배가 되는 대응 관계를 의미한다.
가로의 길이가 a이고 세로의 길이가 b인 직사각형의 넓이는 얼마일까요?

주어진 연노란색 직사각형의 넓이 S는 다음과 같이 나타낼 수 있습니다.
S=ab
그런데, 넓이가 일정할 때 a가 2,3,4...배가 된다면 b의 값은 어떻게 변할까요?
넓이가 12인 직사각형의 가로의 길이를 a, 세로의 길이를 b라 놓았을 때, a와 b의 값은 다음과 같습니다.

표에서 a가 1에서 2배, 3배, 4배...일 때 b의 값은 어떻게 변하고 있나요?
b의 값은 12, 6, 4, 3...으로12의 1/2배, 1/3배, 1/4배로 변합니다.
따라서 넓이가 같은 직사각형의가로의 길이와 세로의 길이는
반비례 관계입니다.
| 반비례 관계식
[정리] x,y가 반비례 관계에 놓여있을 때,

[정리] x와 y가 반비례 관계에 있을 때 다음과 같은 성질을 가집니다.
1. x가 2,3,4...배가 되면, y의 값은 1/2, 1/3, 1/4배가 된다.
2. x와 y의 곱은 항상 a로 같다.
3. a가 양수일 때, x가 커지면 y는 작아진다.
4. a가 음수일 때, x가 커지면 y는 작아진다.

앞서 살펴본 직사각형의 가로와 세로의 관계를 보면,
a와 b의 곱이 12로 일정합니다.
두 값을 x, y로 놓으면,

x와 y의 곱 xy는 12로 항상 같습니다.
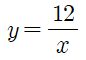
관계식으로 나타내면,

입니다.
| 반비례 관계일 때 x,y의 값 구하기
반비례 관계일 때 x또는 y의 값을 어떻게 구할 수 있을까요?
반비례 관계인 경우,
1. 주어진 x와 y의 값을 곱해 관계식을 구한 후,
2. x또는 y의 값을 구합니다.
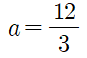
예) x와 y가 반비례 관계이고 x=6, y=2일 때, x=3일 때 y=a이다. 수 a의 값을 구하시오.
반비례이고 x=6, y=2이므로,
관계식을 구하면

입니다.
x=3이면 y=a이므로

a=4입니다.
| 학습지 미리보기


| 첨부파일
| 닫는 말
반비례 관계는 x가 2,3,4배가 될 때 y가 1/2, 1/3, 1/4배가 된다는 점에서 정비례과 다릅니다. 정비례와 반비례는 비례식에서 찾아볼 수 있는 비례 관계이고 실생활이나 수학에서 자주 볼 수 있는 규칙입니다. 문제를 풀어보며 반비례가 가지는 수학적 특징을 파악해보시길 바랍니다.
✔ 저작물 관련 유의사항
- 본 저작물(문제 및 그림)은 학습지 제작소에 있으며, 비상업적, 상업적 이용이 가능합니다.
- 저작물을 사용 시 출처를 밝힌 후, 자유롭게 사용이 가능합니다.
- 학습지제작소의 저작물을 2차 배포하거나, 제 3자에게 제공하거나, 또는 출판하는 행위(ISBN이 포함된 서적으로 출판)는 엄격히 금지합니다.
Copyright. 2020. 학습지제작소. All Rights Reserved.
#태그 : 반비례, 정비례와 반비례, 반비례 관계, 반비례 식, 반비례 관계식, y= a/x, xy=a, 중1, 중학교 1학년, 중1 수학, 함수, 다운, 다운로드, 무료 학습지, pdf, 학습지제작소
'수학 학습지 > 중학교 1학년 1학기' 카테고리의 다른 글
| 연속하는 자연수, 홀수, 짝수 - 일차방정식의 활용 (1) (개념+수학문제) (0) | 2020.08.26 |
|---|---|
| 정비례와 반비례의 그래프, 개형, 그리는 법 (개념+수학문제) (0) | 2020.07.28 |
| [중1-1] 정비례의 의미, 정비례 관계식 (개념+수학문제) (3) | 2020.07.25 |
| x축, y축, 원점에 대칭인 점의 좌표 구하기 (개념+수학문제) (0) | 2020.07.16 |
| 좌표평면 위의 삼각형(도형)의 넓이 구하기 (개념+수학문제) (0) | 2020.07.12 |