
| 같이 보면 좋은 글
| 유리수의 곱셈과 나눗셈
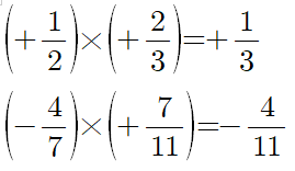
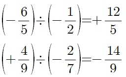
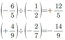
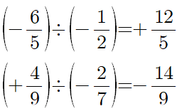
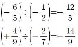
유리수의 곱셈과 나눗셈은 다음과 같은 방법으로 계산합니다.
(1) 유리수의 곱셈
- 두 부호가 서로 같은 경우 : 양의 부호를 붙이고, 절댓값의 곱을 구합니다.
- 두 부호가 서로 다른 경우 : 음의 부호를 붙이고, 절댓값의 곱을 구합니다.

(2) 유리수의 나눗셈
- 두 부호가 서로 같은 경우 : 양의 부호를 붙이고, 나누는 수를 역수로 바꾸어 유리수의 곱셈으로 나타낸 뒤 절댓값의 곱을 구합니다.
- 두 부호가 서로 다른 경우 : 음의 부호를 붙이고, 나누는 수를 역수로 바꾸어 유리수의 곱셈으로 나타낸 뒤 절댓값의 곱을 구합니다.

| 학습지 미리보기


| 첨부파일
| 닫는 말
유리수의 곱셈과 나눗셈은 기약분수로 곱(몫)을 나타내어야 하며, 양의 부호인지 음의 부호인지 따져야 합니다. 그리고 중학교 수학부터는 분자가 분모보다 커질 때에는 대분수가 아닌 가분수로 나타내므로, 가분수로 나타내는 연습이 필요합니다.
✔ 저작물 관련 유의사항
- 본 저작물(문제 및 그림)은 학습지 제작소에 있으며, 비상업적, 상업적 이용이 가능합니다.
- 저작물을 사용 시 출처를 밝힌 후, 자유롭게 사용이 가능합니다.
- 학습지제작소의 저작물을 2차 배포하거나, 제 3자에게 제공하거나, 또는 출판하는 행위(ISBN이 포함된 서적으로 출판)는 엄격히 금지합니다.
Copyright. 2020. 학습지제작소. All Rights Reserved.
#태그 : 유리수의 곱셈과 나눗셈, 유리수, 곱셈, 나눗셈, 중1, 중학교 1학년, 학습지, 연습문제, pdf, 다운, 다운로드
'수학 학습지 > 중학교 1학년 1학기' 카테고리의 다른 글
| 좌표평면 위의 삼각형(도형)의 넓이 구하기 (개념+수학문제) (0) | 2020.07.12 |
|---|---|
| 좌표평면, 사분면 뜻 (개념+수학문제) (0) | 2020.07.05 |
| 정수의 곱셈과 나눗셈 (개념+수학문제) (0) | 2020.06.25 |
| 유리수의 덧셈과 뺄셈 (개념+수학문제) (2) | 2020.06.15 |
| 정수의 덧셈과 뺄셈 (개념+수학문제) (0) | 2020.06.05 |