* 같이 보면 좋은 글
* 수 카드로 대분수를 만들어 계산하기
분수의 덧셈과 뺄셈 유형 중에는 '수 카드로 분수를 만들어 계산하기' 문제가 있습니다.
대표적으로 가장 큰 대분수와 가장 작은 대분수를 만들어 더하기가 있습니다.
예제와 함께 문제풀이를 살펴볼까요?

[문제] 그림과 같이 카드 3장이 있습니다. 세 장의 카드를 각각 사용하여 만들 수 있는 가장 큰 대분수와 가장 작은 대분수의 합은 얼마입니까?
이 문제를 해결하기 위해 우리가 찾아보아야 할 것은 두 가지입니다.
첫째, 가장 큰 대분수입니다.
둘째, 가장 작은 대분수입니다.
첫째부터 알아볼까요? 1,3,4를 가지고 가장 큰 대분수를 만들기 위해서는 자연수 부분에 4가 들어가야 합니다.
그리고 1과 3을 가지고 $ \frac {1}{3}$을 만들 수 있겠죠. 따라서 $ 4 \frac {1}{3}$을 만들 수 있습니다.
둘째, 가장 작은 대분수를 구하기 위해서는 자연수 부분에 1이 들어가야 합니다.
그리고 3과 4를 가지고 $ \frac {3}{4}$을 만들 수 있겠죠. 따라서 $ 1 \frac {3}{4}$를 만들 수 있습니다.
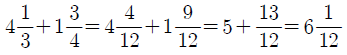
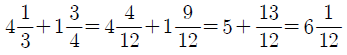
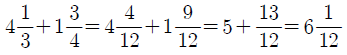
그럼 대분수의 덧셈을 해 볼까요?

로, 6과 12분의 1을 얻을 수 있습니다.
정답: $ 6 \frac {1}{12}$
이번 학습지에는 크게 3가지 유형을 담았습니다.
1) 세 장의 카드 중 3장을 모두 사용하여 만들 수 있는 가장 큰 대분수와 가장 작은 대분수의 합
2) 세 장의 카드 중 3장을 모두 사용하여 만들 수 있는 가장 큰 대분수와 가장 작은 대분수의 차
3) 네 장의 카드 중 3장을 사용하여 만들 수 있는 가장 큰 대분수와 가장 작은 대분수의 합
3)유형은 도전문제로, 해설을 자세히 달아놓았습니다. (●'◡'●)
* 학습지 미리보기

* 첨부파일
✔ 이 글이 도움이 되셨나요?
- 댓글이나 자유게시판에 글을 남겨주세요. 글쓴이에게 큰 힘이 됩니다.
✔ 저작물 관련 유의사항
- 본 저작물(문제 및 도형 그림)은 학습지제작소에 있으며, 비상업적, 상업적 이용(수업에서 부교재로 사용하는 경우만)이 가능합니다.
- 다른 사진을 참조한 경우, 파일 마지막 페이지에 출처를 밝히고 있습니다.
- 저작물을 사용 시 출처를 밝힌 후, 자유롭게 사용이 가능합니다.
- 학습지제작소의 저작물을 관리자의 동의없이 2차 배포하거나, 제 3자에게 제공하거나, 또는 출판하는 행위(ISBN이 포함된 서적으로 출판)는 엄격히 금지합니다.
Copyright. 2022. 학습지제작소. All Rights Reserved.
#태그 :
'수학 학습지 > 초등학교 5학년 1학기' 카테고리의 다른 글
| 기약분수란? | 기약분수 찾기, 기약분수로 나타내기 문제 모음 (0) | 2023.01.23 |
|---|---|
| [약수와 배수] 11~19의 배수 찾기 30문제 | 초등학교 5학년 2학기 수학학습지 (0) | 2022.10.03 |
| [분수의 덧셈과 뺄셈] 초5 - 분모가 다른 분수의 덧셈 연산연습문제 50제 (0) | 2022.06.27 |
| [초5-1] 약수와 배수 심화 유형 > 나머지가 같을 때 나누는 수 구하기 (개념+수학문제) (0) | 2022.04.24 |
| [초5-1] 자연수의 혼합계산 순서 수학학습지, 활동지 (0) | 2022.03.24 |